Gran enciclopèdia catalana
Esportpèdia - Enciclopèdia de l’esport català
Gran enciclopèdia de la música
Diccionari de la literatura catalana
Diccionari d’historiografia catalana
Diccionari del cinema a Catalunya
Diccionari dels partits polítics de Catalunya, segle XX
Cronologia dels Països Catalans i del Món
El món en xifres
Temes d'actualitat
Enciclopèdia temàtica Proa
Atles de la diversitat
Atles de la presència catalana al món
Tradicionari
Art de Catalunya
Del romà al romànic
Catalunya Romànica
L'Art gòtic a Catalunya
El Modernisme
Caixes i bancs de Catalunya
Fàbriques i empresaris
Història econòmica de la Catalunya contemporània
Tècnics i tecnologia en el desenvolupament de la Catalunya contemporània
Aprendre a aprendre
Comarques de Catalunya
Atles electoral de la Segona República a Catalunya
Història. Política, societat i cultura dels Països Catalans
Història de la Generalitat de Catalunya i els seus presidents
Lluís Companys, president de Catalunya
Llibre d'estil
Enciclopèdia de medicina i salut
Biosfera
Història natural dels Països Catalans
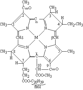
Pigment fotosintetitzador de natura porfirínica, organometàl·lica, amb magnesi.
Té la mateixa estructura general que la clorofil.la, però se'n diferencia perquè té un grup acetil en posició 2
en lloc d’un vinil i perquè el doble enllaç 3,4 és hidrogenat. Aquest pigment és present en les rodobacteriàcies.