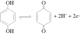
Hom prepara l’elèctrode dissolent una quantitat de quinhidrona en el sistema a estudiar. En aquestes condicions, el potencial adquirit per un elèctrode inatacable submergit en la dissolució és donat per l’expressió E = E° - RT/F ln aH+, sempre que hom pugui suposar que les activitats de la p-benzoquinona i de la hidroquinona són idèntiques. L’elèctrode de quinhidrona es comporta aleshores com un elèctrode d’hidrogen, amb un valor de E° = -0,6994 + 0,00074 t, on t és una temperatura entre 0 i 37°C. Com a conseqüència, l’elèctrode de quinhidrona troba l’aplicació en la determinació del pH, i és útil en condicions molt diverses. No pot ésser emprat en dissolucions alcalines de pH superior a 8, a causa de la ionització de la hidroquinona i de la seva facilitat d’oxidació en aquestes condicions.
m
Química
