
I Fred Hoyle digué: “Big Bang” (i II)
-
- Home
-
- 1 of 37
Què fou exactament el Big Bang? Quin és el vertader origen d’aquesta expressió? S’ha dit sovint que el nom “Big Bang” nasqué sent un insult. Però, anant més enllà, què va voler dir Fred Hoyle quan exclamà “Big Bang”, per primera vegada a la història? I a què ens referim ara quan diem “Big Bang”? Són qüestions importants que es mereixen respostes precises i correctes. Les donarem a continuació.
El dia que Fred Hoyle va dir “Big Bang”
No fou altre que Fred Hoyle (Fig. 1), un reconegut astrofísic anglès, qui el 28 de març de 1949 utilitzà, per primera vegada, l’expressió “Big Bang”.[1] Ho va fer en una lliçó oberta sobre l’Univers, que era retransmesa pel prestigiós Tercer Programa de la BBC. Tot un honor per Hoyle, ja que va ser un dels pocs científics de l’època a qui van convidar a parlar en aquest famós programa sent encara assistent, i no pas professor d’universitat.

Fig. 1. Fred Hoyle (1915-2001). Domini públic.
Avui Hoyle és reconegut sobretot per la seva excepcional teoria de la nucleosíntesi estel·lar. Va ser ell precisament qui va descobrir que els nostres cossos són fets amb les cendres de les estrelles. Descobriment extraordinari, que dona compte de l'espectacular evolució de l'Univers posterior al seu origen i que és, a la vegada, poesia en estat pur!
En començar el programa de la BBC, un locutor presentà Hoyle dient:
“En aquesta xerrada, Fred Hoyle ens oferirà arguments per pensar que la matèria està sent creada a cada instant, de manera que l’Univers ha de provenir d’un passat infinit i també tindrà un futur infinit.”
I Hoyle donà inici a la seva lliçó amb aquestes paraules:
“He arribat a la conclusió que l’Univers es troba en un estat de creació contínua… Al volum d’una ampolla d’una pinta de llet s’hi crea un àtom cada mil milions d’anys.”
Després es va referir a les teories cosmològiques rivals:
“Vulguem aplicar ara les proves observacionals a les teories existents. Observarem que es basen en la hipòtesi que tota la matèria de l’Univers va ser creada en un Big Bang, en un instant particular del passat remot.”
En un moment posterior, sí que es podria dir que va mig insultar els seus col·legues, quan va fer servir l’exemple d’un escalador:
“Tots els camins seguits per les altres teories, en el seu intent d’assolir el puig, acaben sense remei en un precipici o altre... La nova ruta que aquí exposaré involucra la hipòtesi, molt més senzilla, que la matèria està sent creada constantment.”
Pel que fa al mètode de creació, Hoyle va invocar “alguns treballs fonamentals de H. Weyl” (en essència, la teoria general de la relativitat d'Einstein).
Un incís imprescindible. Abans de continuar, cal situar-nos de ple en aquella època. Els models cosmològics que Hoyle considerava com a antagonistes eren: l’estacionari, acceptat gairebé per tothom aleshores (Hoyle, Einstein i molts d’altres) —en què l’Univers havia existit i s’havia mantingut igual des de sempre i així ho faria per sempre— i el nou model del cosmos en expansió —en el qual, mirant enrere en el temps, l’Univers havia tingut un origen, com afirma la Bíblia. Convé entendre bé que en el model estacionari la matèria i energia del cosmos haurien existit des de sempre —no era, doncs, obligatori haver d’explicar el seu origen— mentre que, en el segon cas, com queda ben palès al llibre del Gènesi, sí que és necessari explicar com es va produir la creació de la matèria/energia a partir del no-res. Aquest és el rerefons precís del raonament de Hoyle.
El descobriment de Hubble —acceptat de seguit per tots els científics— que les nebuloses llunyanes fugen a grans velocitats, feia imperatiu que, per a poder continuar mantenint el model estacionari s’havia de crear matèria/energia constantment —encara que només en la petitíssima proporció calculada per Hoyle— per tal de conservar sempre igual la densitat del cosmos. Aquesta creació és possible, dins de la teoria general de la relativitat (TGR), a partir d’una expansió (pressió negativa) del teixit de l’espai, cosa que era ja prou clara des de la publicació el 1934 de Relativity, Thermodynamics and Cosmology, de R.C. Tolman. En aquest excel·lent llibre ja es preveia la possibilitat que l’energia total de l’Univers fos zero, cosa que les darreres dades observacionals han demostrat amb bona precisió. Tots aquests eren conceptes molt avançats a la seva època i que les teories inflacionàries van fer seus (presentant-los com una gran troballa!) mig segle més tard. Ara bé, com i per què es produïa aquesta expansió de l’espai era ja una altra qüestió, de molt difícil resposta.
Avui sabem a més que ja divuit anys abans, el 1931, el mateix Einstein havia estat treballant en una teoria d’aquesta mena. Va intentar crear matèria fent ús de la constant cosmològica. La seva pretensió última era ben bé la mateixa que la de Hoyle: mantenir l’univers estacionari, malgrat la recessió de les galàxies observada per Hubble el 1929. El manuscrit d’Einstein el van trobar, ara fa uns deu anys, dormint plàcidament en un calaix. El gran geni no fou capaç d’idear un argument convincent i mai no el va enviar a publicar.
Però Hoyle sí que havia anat més lluny. Juntament amb Thomas Gold i Hermann Bondi havien dissenyat tota una teoria, la de l’Estat Estacionari —amb un operador de creació de matèria—, que durant bastants anys va continuar competint colze amb colze amb el model de Big Bang. Fins al descobriment, el 1964, de la radiació còsmica del fons de microones (CMB) —la primera llum de l’Univers—, que fou una prova molt important en favor del model de Big Bang. A aquest model, tot s’ha de dir, encara li mancava el Big Bang demanat insultantment per Hoyle; que no hi seria incorporat, amb tots els honors i amb el nom d’inflació còsmica, fins al 1980, com veurem seguidament amb detall. Fi de l’incís.
Reprenent l’exposició de Hoyle, aquest estava del tot convençut que el Big Bang que havia proposat —com a única manera de fer consistent el model de Gamow, Lemaître i altres— no podia pas haver succeït mai. Creia que era completament impossible! I així ho va expressar amb claredat quan, en to depreciatiu, pronuncià per primera vegada a la història les famoses dues paraules: “Big Bang”.
El text de la seva xerrada fou publicat l’abril del 1949 al setmanari de la BBC The Listener, i republicat l’any següent, com a part d’una sèrie de lliçons populars titulades "The Nature of the Universe".
Tothom pot ara accedir fàcilment a aquesta informació i reviure aquell moment històric, en els termes precisos en què els fets van tenir lloc, paraula per paraula. Però ben pocs s’han dedicat a fer-ho, i el desconeixement absolut, les idees banals i les versions equivocades s’escampen com una taca d’oli, confonent la realitat dels fets.
Aquí pretenem posar, d’una vegada per totes, els punts sobre les is i extraure’n les conclusions pertinents per tal d’aclarir definitivament aquesta important qüestió.
El significat original del terme “Big Bang”
Per començar, el significat de “Big Bang” va quedar ben establert de bon principi! Hoyle així ho defensà sempre, fins a la seva mort, ocorreguda l’agost del 2001. Era un esbós del concepte que trenta anys més tard es va poder concretar de manera clara amb el nom d’inflació còsmica.
Ara bé, cal comprendre que només uns quants —tan sols aquells que estaven familiaritzats a fons amb la teoria general de la relativitat— van poder entendre-ho! Això és, entendre a la vegada la teoria que Hoyle defensava de la creació continuada de matèria en petitíssimes proporcions, i la de la creació, d’un sol cop, de tota la matèria de l’Univers en un breu instant de temps. Ambdues són ben difícils de comprendre, però és que la segona ja sembla del tot impossible, com amb gran raó i vehemència defensava el mateix Hoyle.

Fig. 2. Fotografia dels anys 1930 de Georges Lemaître (1894-1966). Domini públic.
De fet, la matèria/energia pot ser creada a la TGR a partir d’una expansió, d’una dilatació del teixit mateix de l’espai (una extraordinària pressió negativa que afecta les coordenades espacials). Això resulta molt difícil d’explicar en dues ratlles, encara que aquest autor ho ha intentat a vegades ―usant una mica més d’espai i temps― en lliçons a YouTube i en diversos llibres i articles de divulgació.[2,3]
El que succeí, en definitiva, va ser que la gran majoria dels radiooients es van quedar amb la imatge falsa que Hoyle intentava combatre costés el que costés. Això és, la tremenda explosió de l’àtom primordial o ou còsmic de Lemaître (Fig. 2) que, segons aquest, va escampar tot el contingut de matèria i energia per la resta de l’Univers.[4] Aquesta imatge és absolutament errònia, no es correspon gens ni mica amb la realitat física; però resulta molt més fàcil d’“entendre“ o “digerir” (Fig. 3). Tot i que en aquest punt sí que hem de culpar Hoyle, ja que el nom que va triar, l’expressió Big Bang, indueix a confusió (com no es cansa mai de lamentar el premi Nobel Jim Peebles).
I aquesta reflexió ens ressitua de ple en el bell començament del tema. Recordem la important conclusió a què ja havíem arribat (part I): per curar-nos en salut, el nom que donem a una cosa cal prendre’l sempre com una simple etiqueta sense sentit directe per se i sense cap relació amb el contingut d’allò que anomena. Encara que hi puguin haver comptades excepcions, mai no s’hauria d’intentar esbrinar el contingut anomenat a partir del nom que porta! Així, “Big Bang” no vol dir res, d’entrada. És tan sols una etiqueta que es va posar fa temps a un fenomen que ha canviat de nom i ara s’anomena “inflació còsmica”. I que és, al seu torn, una altra etiqueta (ben cert és que aquesta darrera li escau molt millor al fenomen nomenat). Que quedi ben clar: es tracta d’un mateix fenomen, que primer es va dir d’una manera i ara es diu d’una altra.

Fig. 3. (a) Imatge esquerra. Inflació d’un Univers bidimensional (1 dimensió temporal, 1 dimensió espacial). La variable temps és l’eix i el creixement és exponencial. (b) Imatge dreta. El gran esclat de l’àtom primordial de Lemaître o ou còsmic. Aquest és un concepte erroni, no té res a veure amb el que va passar a l’origen del nostre Univers. Ambdues imatges sota llicència d’ús raonable.
Vegem encara un darrer exemple. Des de fa uns anys sabem amb certesa que el teorema de Pitàgores no el va pas descobrir Pitàgores. Primer es va trobar una llarga llista de tripletes pitagòriques, que eren ja conegudes més de mil anys abans que Pitàgores nasqués. I després s’ha descobert una tauleta babilònica d’argila, datada el 1800 aC i catalogada com a YBC 7289, que es conserva a la Universitat de Yale (EUA) i que sembla contenir una primera demostració del teorema. Però el nom d'aquest s’ha mantingut intacte, ningú no ha intentat canviar-lo. El que convé entendre, un altre cop, és que el nom és tan sols una etiqueta. I, en aquest cas, Pitàgores continua tenint una relació molt important amb el teorema: ell fou el primer que el va demostrar de manera clara amb tota generalitat i qui el va difondre per tota la Grècia clàssica, d’on es va escampar arreu del món. Però el fet que el teorema l’anomenem així no vol pas dir que Pitàgores en fos el seu primer descobridor.
Aquest és un primer pas, molt important, que hauria de quedar clar també en la nostra investigació. Si us plau, considerem a partir d’ara la denominació “Big Bang” com una etiqueta i res més.
L’impossible Big Bang de Hoyle fou realitzat per la inflació còsmica
El prestigiós escriptor John Gribbin, en l’obituari tardà que va dedicar a Fred Hoyle —amb el bellíssim títol: “Stardust memories” i que aparegué al diari The Independent el divendres 17 de juny del 2005— afirmava que Hoyle seria sempre recordat com el principal promotor de la teoria de l’estat estacionari de l’Univers, avui del tot desacreditada. Però hi va afegir, a més, aquesta importantíssima reflexió:
“Tothom sap que la teoria rival, la del Big Bang, va triomfar a la batalla de les cosmologies; però molt pocs (ni tan sols els astrònoms) saben que el formalisme matemàtic de la versió actual del Big Bang, anomenada inflació, és idèntic al de la versió de Hoyle del model d’estat estacionari.”
Aquest formalisme fa ús de la TGR, com ja ha quedat esbossat abans i s'utilitza sempre el mateix principi fonamental per a la creació de matèria i energia; a més de la solució de de Sitter, en ambdos cassos. Ara bé, cal matitzar l'afirmació de Gribbin. Dir literalment que els dos formalismes matemàtics són "idèntics" no és del tot apropiat. En la cosmologia d'estat estacionari promoguda per Hoyle, el camp de creació és purament fenomenològic, s'introdueix a mà per tal de mantenir la densitat de matèria/energia constant; mentre que els models inflacionàris fan ús d'un formalisme estàndard, utilitzant un camp escalar φ amb un potencial V(φ) que impulsa l'expansió exponencial de l'espai: a(t) ~ eHt, durant un temps molt curt. Aquí a(t) és el factor d'escala i H la constant de Hubble (o ritme d'expansió), dels que en parlarem després.
Probablement, el que Gribbin tenia al cap (i el mateix Hoyle va defensar en diverses ocasions) era que la idea impulsora que hi havia darrere de les dues teories era la mateixa, que es fonamentaven en el mateix principi bàsic: la possibilitat de creació de matèria i energia a partir d'una expansió de l'espai. Com a qüestió de principi, aquesta viabilitat és patent a les equacions d'Einstein de la relativitat general, de manera totalment semblant a com la possibilitat de conversió de matèria en energia, i viceversa, era ben clara a la seva famosíssima equació de la relativitat especial, E=mc2. Ara bé, en el cas que ens ocupa, cal observar que els dos formalismes (estat estacionari i inflació) són força diferents a nivell tècnic i conceptual, tot i que comparteixen la mètrica de de Sitter com a marc formal. Això s'explica amb detall a la Ref. [5], on es recull l'enfocament rigorós dels experts en el tema.
Tornant ara al magnífic títol de Gribbin, resulta impossible no parlar de la memorable cita que el mateix George Gamow (Fig. 4) ―científic excepcional i amb un gran sentit de l’humor― va, al seu torn, dedicar a Hoyle. Al capítol “New Genesis” de la seva autobiografia My World Line: An Informal Autobiography (publicada pòstumament el 1970),[6] Gamow es refereix a Hoyle en aquests solemnes termes:
“Déu estava molt decebut i primer va voler contraure l’Univers i començar de nou des de zero. Però això hauria estat massa fàcil. Així que, com que era totpoderós, Déu va decidir corregir el seu primer pensament de la manera més inversemblant.
I Déu va dir: «Que existeixi Hoyle». I Hoyle va existir. I Déu va mirar Hoyle… i li va encomanar que creés elements pesants com volgués. I Hoyle va decidir crear elements pesants a les estrelles i escampar-los mitjançant grandioses explosions de supernoves.”

Fig. 4. George Gamow (1904-1968). Wikipedia Commons. Ús raonable.
D’aquella manera, Déu va poder rematar la seva obra.[7] Són aquests els vertaders, els incomparables focs d’artifici de l’Univers a què s‘havia referit en tantes ocasions Georges Lemaître, un altre dels protagonistes de la nostra història. I que ara sabem ―gràcies al telescopi espacial JWST― que van començar molt més d’hora del que fins fa ben poc ens pensàvem a modelar l’evolució del cosmos. Els nostres tres protagonistes units per una tan espectacular bellesa còsmica. Quina autèntica meravella!
Cal aquí destacar el fet insòlit que, en els anys següents, hi va haver diverses contribucions cabdals dels dos equips rivals en la construcció del model del Big Bang. Per començar, Gamow, Alpher, Herman i altres es van adonar que l’expansió observada de l’Univers implicava que, en una etapa molt primerenca, aquest havia d’haver estat prou calent perquè hi poguessin tenir lloc reaccions nuclears. Vint anys d’importants contribucions sobre aquest tema van acabar portant R.V. Wagoner, W.A. Fowler i F. Hoyle al desenvolupament, el 1967, de la teoria de la nucleosíntesi del Big Bang (BBN), un assoliment extraordinari.[8] De fet, encara serveix a hores d'ara com a referència molt valuosa per a validar els models cosmològics actuals. El suport final d’aquesta teoria va tenir lloc més o menys al mateix temps que el descobriment fortuït de la radiació de fons còsmic de microones (CMB), que validà definitivament el model complet.
De tota manera, en el període que comprèn els vint anys anteriors a aquest esdeveniment, els experts ja s’havien adonat amb claredat que les temperatures de la BBN només permetien la generació d’uns pocs elements, els més lleugers, fins al Li7 com a molt. Per tant, s’havia d’explicar d’on provenien la resta dels moltíssims elements de la taula periòdica. I aquí va ser Hoyle, altre cop, qui va liderar el camp, amb la seva espectacular teoria de la nucleosíntesi estel·lar, desenvolupada en dos treballs pioners, de 1946 i 1954, i que culminà amb la publicació històrica, el 1957, del famós article B²FH, d’E.M. Burbidge, G.R. Burbidge, W.A. Fowler i F. Hoyle.[9]
Breu apunt sobre la teoria de la inflació còsmica
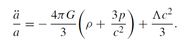
Per als lectors més exigents, cal afegir alguns paràgrafs sobre la teoria de la inflació còsmica. Tal com s’ha dit abans, la possibilitat de creació de matèria/energia a partir d’una expansió de l’espai (d’una pressió espacial negativa del mateix sistema de referència) es desprèn clarament de la teoria general de la relativitat d’Einstein. Això es pot veure, per exemple, observant amb atenció la segona equació de Friedmann:

A l’esquerra hi tenim l’acceleració còsmica normalitzada. És a dir, la segona derivada d'a, l’anomenat factor d’escala, sobre a mateixa, que és una longitud còsmica típica (per exemple, de 100 Mpc, més o menys) prou gran com per poder apreciar efectes cosmològics a gran escala. Dins dels parèntesis, ρ és la densitat de la matèria, el signe menys indica que les masses de l’Univers alenteixen la seva expansió (llei de Newton). Λ és la constant cosmològica: si és positiva, contribueix a l’acceleració de l’Univers, si és negativa, a la seva desacceleració. També entre parèntesis, el terme de pressió, p, marca l’enorme diferència de la RG respecte a la mecànica clàssica. Aquesta pressió es refereix a la geometria de l’espaitemps, és a dir, al sistema de coordenades en si, no a una pressió ordinària d’un component de matèria o energia. Correspon a la compressió (positiva) o expansió (negativa) del propi teixit de l’espai (en el llenguatge habitual emprat a la literatura popular).
En mirar l’interior dels parèntesis, ens adonem que la pressió va de bracet amb la matèria/energia, i aquest és el punt cabdal. Les masses i energies de l’Univers poden, en conseqüència, augmentar-se (de fet, crear-se d’on no hi havia res) a costa d’afegir una quantitat equivalent de pressió negativa, sense que l’equació canviï gens. En altres paraules, segons els principis físics fonamentals de la RG, podem bescanviar una cosa per l’altra. D’aquesta manera, l’energia total de l’Univers podria ser exactament zero (com sembla que és el cas, de fet), si en ell hi hagués tanta matèria com pressió expansiva. És difícil anar més enllà d’aquesta explicació amb poques paraules. Val a dir que aquestes consideracions son només locals, ja que les hem fet a partir d'una equació diferencial.
A la Ref. [5] (en anglès) es donen detalls més concrets sobre uns quants punts essencials. En particular, s'hi fa una comparació molt acurada de les cosmologies d'estat estacionari i d'inflació, explicant la relació que hi ha entre l'espaitemps de de Sitter i la cosmologia d'estat estacionari. També es mostra, pas a pas, com es fa per obtenir una expansió accelerada (un "Big Bang") a partir de la pressió negativa de l'espai; i com es pot fer compatible la conservació de l'energia amb la creació de materia, en un univers en expansió. I encara més, s’explica com és possible que el nostre Univers pugui tenir energia total zero.
Tot l'anterior constitueix el punt de sortida de qualsevol lliçó estàndard sobre inflació còsmica. Malauradament, no podem entrar aquí en els detalls tècnics que defineixen la teoria en particular, i que son, de fet, la part més important del tema. No obstant això, cal remarcar que, com a principi físic, com a possibilitat en plè acord amb la conservació de l’energia, aquesta qüestió ja quedava ben clara, com s'ha dit, al llibre de R.C. Tolman del 1934 i també ―com es desprèn del seu discurs― a l’argumentació de F. Hoyle quan va dir “Big Bang“. En resum, són conceptes que els creadors de les teories d’inflació van fer seus, i amb gran rebombori, però que en essència ja eren coneguts cinquanta anys abans.
De tota manera, convé que s'entengui bé una cosa: tot això no significa en absolut que Tolman o Hoyle hagin de ser considerats com a pioners de les teories d'inflació. Fent una comparació molt escaient, recordem que Einstein va expressar amb claredat, ja el 1907, que com a conseqüència dels principis de la relativitat especial, “la matèria i l’energia són una sola i la mateixa cosa“. Això el va portar a escriure la seva equació més famosa, E = mc2, pocs mesos més tard. Però seria del tot inadequat considerar-lo com a pare de la bomba atòmica, que és una conseqüència tècnica o una realització pràctica d’aquest principi fonamental. Hi va haver tot un llarg procés i una quantitat impressionant de feina per part de molta gent extraordinàriament intel·ligent per recórrer aquest camí. Aquí estem parlant en termes similars, pel que fa al desenvolupament real de la teoria de la inflació còsmica, per diferents vies específiques, en comparació amb els principis físics fonamentals en què aquesta es basa, i que es remunten a la TGR.
Tornant ara a l’objectiu principal d’aquesta secció, quan algú diu “inflació còsmica“, el primer nom que ve al cap és probablement Guth, potser com a segon Linde, i probablement com a tercer Starobinsky. Aprofitarem aquí l’oportunitat d’anar més enllà i donar el mèrit degut a tothom qui hi va contribuir substancialment (de manera semblant a l’exemple anterior del bosó de Higgs). Donant una ullada a la literatura sobre el tema, hom hi troba un comentari interessant de John Peacock (escrit el 2017) on assenyala que, en cert sentit, el primer article sobre inflació va ser un d’Erast Gliner, escrit el 1965. Gliner va assenyalar, en el seu treball, que una transició de fase (no ben explicada) d’una equació d’estat del buit a la fase de dominació de la radiació, donava un factor d’escala exponencial en els inicis de l’Univers. Això era tot el que de fet es necessitava per resoldre el problema de l’horitzó, però aquest punt tan important no va ser emfatitzat en aquell article, que es va quedar molt a mitges.
En el vertader context de la inflació com a teoria, Demòstenes Kazanas (que de vegades apareix com a Dimitri a la literatura) va publicar el 1980 un article a The Astrophysical Journal Letters proposant una fase primerenca d’expansió ràpida. L’article abordava els problemes de l’horitzó i dels monopols, cosa que el fa clarament inflacionari en esperit, fins i tot si la terminologia i el marc emprats difereixen dels ara habituals. El treball de Kazanas va ser independent i contemporani a la proposta de Guth (de fet, es va publicar unes setmanes abans).
Com és prou conegut, Alan Guth (Fig. 5) va introduir la teoria de la inflació còsmica com a tal en el simposi de Texas del 1980, tot i que el seu article no va ser publicat fins al 1981. Introduí la inflació com una solució dissenyada expressament per resoldre els problemes de l’horitzó, de la planitud i de l’absència de monopols magnètics. La seva teoria s’anomena ara inflació antiga, ja que va caldre millorar-la ben aviat, car s’hi van detectar problemes greus.

Fig. 5 Alan Guth (2007). Imatge (CC BY-SA 3.0) Betsy Devine
Prèviament a tots aquests articles, però, Aleksei Starobinski havia desenvolupat ja (en sengles treballs del 1979 i el 1980) un escenari semblant al de la inflació, basat en la idea de fer correccions quàntiques a la gravetat d’Einstein. Aquest és sovint considerat ara com el model inflacionari tècnicament consistent més primerenc, tot i que no està emmarcat en el llenguatge de les teories de gran unificació (GUT). Molts el veuen com una de les formes més prometedores de mecanisme d’inflació, ja que podria sorgir de manera natural a partir de teories fonamentals de la física (d’entrada, perquè haver d’afegir correccions quàntiques a la TGR sembla ser un fet inevitable).
També el 1981, Katsuhiko Sato va publicar diversos articles proposant un Univers inflacionari impulsat per l’energia del buit associada a transicions de fase en teories GUT. El seu treball demostrava que un superrefredament durant la fase de ruptura de simetria podria conduir a un breu període d’expansió exponencial. Això resolia de nou els problemes de l’horitzó, de la planitud i dels monopols, en estret paral·lelisme amb les motivacions del model original de Guth.
El model d’inflació antiga de Guth va ser millorat substancialment i fet viable en articles publicats a partir del 1982. En concret, Andrei Linde va proposar l’anomenada nova inflació, que resolia el dramàtic problema de la manca de “sortida elegant” ("graceful exit") que tenia el model de Guth. I Andreas Albrecht i Paul Steinhardt, en un treball conjunt també del 1982, van desenvolupar la nova teoria de la inflació, de manera paral·lela i gairebé al mateix temps que ho feia Linde.
Per acabar, ens hem de fer ressò de l’assenyada opinió d’alguns experts que afirmen que Guth va tenir la gran sort de ser en el lloc adequat en el moment adequat. Fan referència al fet que podria ser el cas que hagués sentit Kazanas i el seu director de tesi, David Schramm, mentre discutien la seva brillant idea que una fase de Sitter (d’expansió exponencial) a l’Univers primerenc podria haver conduït de manera natural a un Univers isotròpic i homogeni, en total acord amb les observacions còsmiques. Guth podria haver tret bon partit d’aquesta discussió entre col·legues. Resulta difícil confirmar aquest rumor, transmès de boca a boca. Però el que és certament estrany és una altre fet, que tothom pot comprovar: durant diverses dècades Guth no va fer mai esment en els seus treballs de la important contribució de Kazanas, que era prèvia al seu primer resultat del 1981.
Un possible afegitó a tot l’anterior podria ser el següent: en paral·lel amb el cas del bosó de Higgs, la inflació còsmica hauria d’anar sota el nom (o etiqueta) de KGSSLAS, o alguna altra permutació (la preferida pel lector/a) d’aquest conjunt d’inicials.
Darrera volta de clau: la seqüència detallada dels fets
- George Gamow, científic (com ja s’ha dit) tant brillant com divertit, va adoptar amb sorna la (insultant) expressió “Big Bang”, per donar nom a la seva teoria (la de Lemaître-Alpher-Gamow-Herman-…).
- Fins al 1980, amb l’arribada de la inflació còsmica, la teoria del Big Bang (originada el 1927, en l’ara famós article de Lemaître, en francès, publicat en una irrellevant revista belga) no contenia cap Big Bang! Aquesta és precisament la crítica ferotge que Hoyle li havia fet, expressant que, tanmateix, un tal Big Bang era del tot impossible!
- D. Kazanas, A. Guth, A. Starobinski, K. Sato, A. Linde, A. Albrecht, P. Steinhardt… van afegir el Big Bang (la inflació) al model de Big Bang. Sembla un joc de paraules, però és així.
- Aquest era precisament el Big Bang (basat en la TGR) que Hoyle va dir (molt encertadament) que li mancava al model! Hoyle defensà aquest punt fins al dia de la seva mort.
- Tot i que la intuïció de Hoyle fou molt remarcable, tant la seva convicció que el Big Bang era impossible com la seva manera explícita d'abordar el problema de la creació de la matèria van resultar ser errònies.
- En canvi, la teoria de la inflació còsmica sí que va proporcionar una solució brillant a la creació de la matèria a l'origen de l'Univers, satisfent tots els principis físics i lleis de conservació.
- Importantíssim. A més de crear la matèria/energia, la inflació còsmica (el vertader Big Bang), va resoldre també tots els altres grans problemes del model: homogeneïtat, causalitat, absència de monopols, etc.
- En definitiva, fou la introducció del Big Bang, això és, de la inflació, el que va completar i donà sentit físic al model de Big Bang. Punt.
- El nom Big Bang és molt desencertat (Jim Peebles dixit). Però, com tots els noms, ha de ser entès tan sols com una mera etiqueta, i prou. I això ens hauria ja de resoldre aquest problema.
- El “Bang” és una expansió, una breu bufada que va eixamplar el teixit de l’espai, afectant tot l’Univers durant un temps brevíssim (no pas una explosió en cap lloc concret).
- Certament va ser “Big”, enorme, d’acord amb el nombre d’e-folds (uns 50 o 60) que es va expandir l’Univers en un temps infinitesimal.
- En resum: el model de Big Bang va rebre el seu nom a partir d’una crítica cínica de Hoyle, que digué (amb tota la raó del món) que li mancava una etapa tant essencial com impossible: un Big Bang! Quan aquest hi va ser incorporat, anys després, va quedar ja un model com Déu mana. Més clar, l’aigua.
- Cal esmentar, però, que l’accepció més estesa universalment de “Big Bang” avui dia és com a “singularitat del Big Bang.” Fruit dels importants treballs de Roger Penrose, Stephen Hawking i altres, que demostraren que la TGR condueix inevitablement a una singularitat matemàtica a l’origen del cosmos.[10] A la qual s’ha batejat com a “singularitat del Big Bang”.
- Però, aquest no és pas el final de la història. Com el mateix Hawking reconeixia (en vida) a la seva pàgina web personal, la TGR no és vàlida a l’origen de l’Univers (ja no serveix per a res molt abans, a escales subatòmiques!). La singularitat és tan sols matemàtica, no té cap sentit físic i el que ens indica amb total claredat és que es necessita una nova física que encara no posseïm, més enllà de la TGR i de les teories de camps quàntics.
Conclusió
- Durant 50 anys, el model de Big Bang no va incloure cap Big Bang. De fet, s’hauria d’haver dit el model de "no-Big-Bang"! I això va fer que se li acumulessin moltíssims problemes (a banda que, d’entrada, no era complet).
- El 1980, el Big Bang (inflació còsmica) fou incorporat al model de Big Bang. Això va resoldre de cop i volta tots els problemes que tenia!
- L’última etapa, encara pendent, serà demostrar amb rigor que el Big Bang va tenir lloc, de fet.
- Un terme més escaient (en opinió d’alguns autors) seria Big Blow (Fig. 6): bufada poderosa que eixampla de sobte el teixit de l’espai (diguem, la superfície tridimensional d’una esfera o el·lipsoide quadridimensional, l’espaitemps còsmic).
- Advertiment important: quan ara es parla de “Big Bang,” i prou, el més probable és que hom s’estigui referint a la “singularitat del Big Bang”. Singularitat matemàtica sense cap sentit físic directe.
- Actualment l’etiqueta “Big Bang” s’utilitza en diversos contextos: (a) Singularitat Big Bang; (b) com l’equivalent a inflació còsmica; (c) parlant del model cosmològic de Big Bang; (d) per referir-se a un popular programa de la TV...

Fig. 6. Representació artística del Big Blow, gran bufarut que expandeix l’espai. El radi del globus és el temps, a l’interior hi ha el passat. Ús raonable.
Referències
- F. Hoyle, “Continuous Creation“. Radio Times. No. 1328. BBC. 27 March 1949. Archived from the original on 5 February 2022.
- E. Elizalde, “The true story of modern cosmology” (Springer-Nature, Berlín, 2021). “Cosmología moderna: desde sus orígenes”; Catarata, Ed.; Col. Física y Ciencia para todos (Real Sociedad Española de Física y Fundación Ramón Areces): Madrid, 2020.
- E. Elizalde, Entrevista a “Vidas Ajenas”.
- H. Kragh,“‘The Wildest Speculation of All’: Lemaître and the Primeval-Atom Universe“. In: Holder, R., Mitton, S. (eds) Georges Lemaître: Life, Science and Legacy. Astrophysics and Space Science Library, vol 395 (Springer, Berlin, Heidelberg, 2012). https://doi.org/10.1007/978-3-642-32254-9_3 .
- E. Elizalde, "The meaning of "Big Bang"", Galaxies 14, 8 (2026). https://doi.org/10.3390/galaxies14010008
- G. Gamow, My World Line: An Informal Autobiography (The Viking Press, NY, 1970). ISBN 9780670503766 / 0670503762
- S. Weinberg, The First Three Minutes: A Modern View of the Origin of the Universe (Basic Books, 1977; 2.a ed. 1993).
- R.V. Wagoner, W.A. Fowler, and F. Hoyle, On the Synthesis of Elements at Very High Temperatures, ApJ, 148, 3 (1967).
- E. Margaret Burbidge, G.R. Burbidge, William A. Fowler, and F. Hoyle, “Synthesis of the Elements in Stars“, Reviews of Modern Physics. 29, 547 (1957).
- E. Elizalde, “Mathematical Singularities in the Farthest Confines of the Universe –And a Brief Report on Its Evolutionary History”, Universe 9, 33 (2023). https://doi.org/10.3390/universe9010033



