
L’aparcament perfecte
-
- Home
-
- 11 of 32
De vegades aparcar no sempre és una tasca senzilla, i les matemàtiques ens poden ajudar força!
El desembre del 2009, el matemàtic Simon Blackburn, del Royal Holloway de la Universitat de Londres, presentà el treball "The Geometry of Perfect Parking", resultat d'un estudi que va realitzar conjuntament amb l'empresa automobilística Opel, en el qual proporcionà una fórmula matemàtica per aparcar amb una extraordinària precisió.

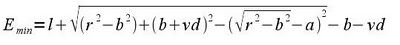
La fórmula es fonamenta en l’equació de la circumferència, girs, una mica de trigonometria i poca cosa més.
De fet, per poder aconseguir aparcar de manera òptima ens cal conèixer algunes mesures del vehicle en qüestió, expressades en mil·límetres, i d’aquesta manera sabrem l’espai necessari.
Les dades que necessitem, i que figuren en els manuals del fabricant del cotxe, són:
a = amplada del vehicle
vd = volada davantera del vehicle
r = radi de gir del vehicle
b = distància entre eixos
I = longitud del cotxe
, i l’espai mínim per aparcar ve determinat per l’expressió:

Tanmateix, és de sentit comú que no baixarem del vehicle amb una cinta mètrica per tal de mesurar i després aparcar, oi? Però el que és cert és que aquesta fórmula és la que hi ha implementada en els assistents d’aparcament automàtic, uns aparells que permeten aparcar en espais que només sobrepassin en 80 cm la llargada del vehicle en qüestió.
Per tant, podem afirmar que les matemàtiques són una condició necessària per a la tecnologia.



