L'orientació del vot d'esquerres o de dretes
Per comprendre l’escrutini des de l’electorat, i no des de la perspectiva del repartiment d’escons als partits, hem sumat els vots obtinguts per les candidatures de 1931 a 1936 entorn de dos pols que denominem «esquerres» i «dretes». Considerem vots d’esquerres o de dretes els d’aquelles candidatures o personalitats independents correlacionades respectivament, de manera positiva o negativa, amb el Front d’Esquerres de 1936. Hem procedit així sempre, amb la sola excepció del Partit Radical, tal com explicarem més endavant. El PRR constitueix una excepció important perquè el seu electorat a Barcelona ciutat va representar més del 10% en les tres primeres eleccions legislatives.
No desconeixem la varietat de candidatures i de partits que van actuar durant la República, fins al punt que els experts es van referir al «pluripartidisme extrem» i «gairebé neuròtic» d’aquells anys. Però des de l’inici l’electorat es comportà majoritàriament de forma estable i moderada i no va donar suport amb força a cap alternativa radical. Per això, fins a cert punt, la imatge d’esquerres o dretes es correspon amb la força respectiva de les candidatures d’ERC o de la Lliga.
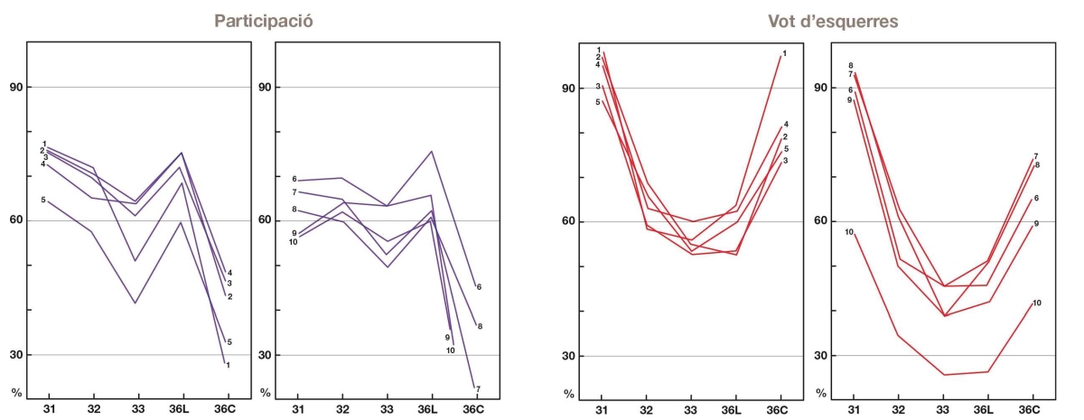
S’ha de tenir en compte que el percentatge de vots de les esquerres no és el resultat polític de l’escrutini perquè no decideix el repartiment d’escons, però matisa amb quina força l’electorat es va definir a favor d’una tendència reformista o conservadora. Per comprendre millor la força d’aquestes tendències, hem considerat tres percentatges a partir de les cinc eleccions generals estudiades i del vot d’esquerres o de dretes: el percentatge de vots de les esquerres o de les dretes calculat sobre la participació; el percentatge de l’electorat que va votar les esquerres i el percentatge de l’electorat que va votar les dretes. Aquests dos percentatges últims s’han calculat sobre el cens electoral (figures 3 i 4).
A Catalunya, el vot de les esquerres sobre la participació va oscil·lar, de 1931 a 1936, 27 punts. L’orientació més a l’esquerra es va viure durant les constituents (80%), per la desorganització de la dreta, i en les de compromissaris (76%), perquè es tractava d’unes eleccions de segon grau i sense interès polític per a la dreta. El 1932 les eleccions al Parlament de Catalunya hi va haver un reajustament important respecte a 1931 i l’electorat de l’esquerra va passar a representar globalment el 62%. El 1933 es va definir la força màxima de la dreta (43%), mentre que l’esquerra va sofrir un nou descens (57%), i aquests mateixos percentatges es repetiren durant les eleccions del Front Popular. Aquest fet demostra que la divisió del país al febrer de 1936 repetia, en certa manera, la divisió viscuda tres anys abans, i, per altra banda, tendeix a demostrar que, globalment, el vot de les dones no va poder canviar l’orientació dels escrutinis. Les cinc circumscripcions de Catalunya es van orientar sempre majoritàriament cap a l’esquerra. Les províncies de Girona i Tarragona ho van fer més que les de Barcelona i Lleida. Barcelona ciutat va ser la circumscripció que es va orientar més a l’esquerra, especialment durant les legislatives de 1933 i de 1936.
El partit radical a les circumscripcions provincials
Quan el Partit Radical es va presentar formant candidatura en solitari a les províncies, va obtenir a l’entorn del 4%, el 2% i el 1% a Barcelona, Girona i Tarragona respectivament, mentre que no es va presentar mai en solitari a la província de Lleida. L’anàlisi dels coeficients de correlació en les províncies indiquen molt lleugerament que l’electorat del PRR de 1931 va tendir a votar Front Català d’Ordre el 1936, i fins i tot es pot matisar, pel que fa a Tarragona, que les correlacions dels dos candidats de la Coalició Republicano- Socialista amb el Front Popular són de signe distint, positives per al PSOE i negatives per al PRR.
En canvi, l’electorat de la província de Barcelona que el 1932 va votar PRR va tendir a votar Front Popular el 1936, però a les altres províncies (Girona i Tarragona) va tendir a votar Front Català d’Ordre. De 1933 no hi ha fonts per a l’estudi del vot municipal de la província de Barcelona, però sabem que, per exemple, durant aquestes eleccions es va invertir lleugerament la tendència a Girona, i la correlació del PRR és lleument positiva amb el Front Popular. Tanmateix, les correlacions són, en tots els exemples esmentats, pròximes a zero, i, per això mateix, no significatives. En el cas de les circumscripcions provincials hem optat, doncs, per considerar l’electorat del PRR com un electorat amb tendència conservadora, perquè la majoria de vegades es va correlacionar negativament amb el Front Popular.
El partit radical a Barcelona ciutat
A la ciutat de Barcelona, les especificitats del PRR han fet que consideréssim l’electorat d’aquesta candidatura conservador el 1931 i reformista en les eleccions legislatives de 1932 i 1933. El 1931, el PRR decidí incloure en la seva candidatura membres de la Lliga i del PCR i aquest fet és possible que distorsioni l’estudi de les correlacions. D’altra banda, una dificultat per a l’estudi de l’electorat barceloní és l’absència de fonts, precisament de les eleccions en què el PRR va obtenir una força relativa, és a dir, en les legislatives de 1932 i 1933.
No obstant això, disposem dels resultats detallats secció per secció de les eleccions municipals de 1934, cosa que ens permet fer una sèrie de matisacions i precisar que l’electorat del PRR de Barcelona ciutat, des de 1934 i possiblement des de 1932, ha de ser considerat com un electorat d’esquerres. Quant a l’any 1932, no disposem dels resultats per seccions electorals, però sí per districtes. Si calculem els percentatges que el PRR va obtenir sobre el total de la ciutat, observem com la seva força ha variat geogràficament. Mentre que el 1931 va aconseguir els millors percentatges als districtes IV i VI, que constitueixen el nucli de la dreta, el 1932 va obtenir els percentatges més alts als districtes IX i X, que són el nucli de l’esquerra (figura 19). Pel que fa a les eleccions legislatives de 1933, no tenim els resultats del PRR per districtes o seccions, i l’única cosa que es pot afirmar és que el PRR va mantenir la seva força a la ciutat.
L’anàlisi de les eleccions municipals de 1934, i, sobretot, la seva comparança amb les eleccions de 1931, és reveladora del canvi de domicili de l’electorat del PRR. Com que la delimitació espacial de les seccions ha variat, no podem estudiar la seva evolució per mitjà del coeficient de correlació, però podem comparar les distintes matrius de correlació d’ambdues eleccions. El 1931, la Lliga i el PRR es correlacionen positivament (.35), és a dir, que en les seccions on més es va votar la Lliga es va tendir a votar més el PRR, com ja indicava l’estudi dels percentatges obtinguts als districtes. El 1934 va passar el contrari: la Lliga i el PRR es van correlacionar negativament (–.45), perquè on es va votar la Lliga es va tendir a no votar el PRR. En canvi, la correlació del PRR, que el 1931 era negativa respecte a ERC i el PCC, és positiva el 1934. Un canvi de tendència similar es va donar amb la correlació entre la participació i el PRR: mentre que el 1931 es tendí a votar més el PRR en les seccions en què es va participar més, el 1934 es va correlacionar negativament i significativament amb la participació (–.41), mentre que la Lliga, el 1931 i el 1934, es va relacionar positivament amb la participació (.30 i .48 respectivament). A més d’aquesta anàlisi de correlacions, els diagrames de dispersió mostren que l’electorat del Partit Radical, a partir de l’any 1934, va tenir tendència a residir en aquelles seccions que majoritàriament es decidiren a votar l’opció que en aquest estudi denominem esquerra reformista o, senzillament, esquerra.
La circumscripció de Barcelona ciutat
La participació
La ciutat
A Barcelona ciutat es va participar sempre menys que a la província, especialment durant les constituents (61%), en les eleccions al Parlament de Catalunya (53%) i en les eleccions de compromissaris (34%). El percentatge en les legislatives de 1933 (60%) i de 1936 (65%) s’aproxima més a la mitjana de les províncies catalanes. La participació de la ciutat es va situar en totes les consultes electorals gairebé exactament 10 punts per sota de la participació de la província de Barcelona (figura 4).
Els districtes
Tots els districtes van seguir una evolució semblant, encara que amb diferències acusades entre els uns i els altres, i més importants entre les dues primeres eleccions. La tendència dels districtes IV i VI fou la d’incrementar la participació, i, en canvi, la dels districtes II, V i IX la de participar sempre menys, mentre que les tendències dels districtes restants es van situar entre aquests dos extrems (figura 20).
Les seccions
Gairebé totes les seccions van participar en les tres eleccions per a les quals disposem de dades bastant exactes entorn de la mitjana de la ciutat, per la qual cosa les corbes de distribució dels percentatges són pronunciades (figura 22). Cal destacar que aquesta mateixa estructura es va viure durant la consulta electoral dels compromissaris, quan la participació va ser baixa (34%) perquè la lluita electoral no presentava cap interès polític. El fet que, malgrat aquestes dues característiques —gran abstenció i poc interès polític—, totes les seccions participessin d’una manera tan similar i al mateix temps amb un comportament tan semblant al de les eleccions anteriors, demostra que l’electorat barceloní va optar també, en aquestes últimes eleccions, per votar o abstenir-se, segons les pautes col·lectives que responien puntualment en totes les seccions a una mateixa conjuntura política. Si a Lleida l’estudi municipal de les últimes eleccions permet constatar la riquesa del paisatge local, a Barcelona introdueix aspectes definitoris de la participació individual, el significat de la qual es pot captar, com veurem més endavant, a través de l’anàlisi de les trajectòries electorals.
L'orientació de vot
La ciutat
L’orientació del vot a Barcelona ciutat va seguir una trajectòria similar a la de les províncies i pel seu pes electoral influí decisivament en el resultat final dels escrutinis catalans. Barcelona es caracteritzà pel fet d’oscil·lar menys en el seu vot d’esquerres. El 1931 va ser la circumscripció que va votar menys l’esquerra (69%), el 1932 i el 1933 va votar un 60% en favor de l’esquerra, mentre que en les eleccions del Front Popular va tornar a votar més l’esquerra (63%). En les eleccions de compromissaris, com tot Catalunya, es va votar molt cap a l’esquerra (75%).
Els districtes
L’orientació del vot per districtes va seguir la tendència de la ciutat, amb oscil·lacions superiors a 30 punts. Així, doncs, es va configurar un mapa polític estable des de les primeres eleccions: els districtes II, V, VII, IX i X van ser de l’esquerra; els districtes III, IV i VI de la dreta; i els districtes I i VIII van ocupar una zona intermèdia (figura 21).

Figura 19.- Percentatges per districtes obtinguts pel Partit Radical Republicà i calculats sobre el total de la ciutat de Barcelona, a les eleccions legislatives de 1931 i 1932.

Figura 20. Evolució de la participació als deu districtes de la ciutat de Barcelona en quatre eleccions: les legislatives de 1931, 1932 i 1936, i la de compromissaris de 1936.

Figura 21. Evolució del vot d’esquerres als districtes de la ciutat de Barcelona en quatre eleccions: legislatives de 1931, 1932 i 1936, i de compromissaris de 1936.
Les seccions

Figura 22.- Percentatges de votants i vots a les diferents candidatures en les seccions de la ciutat de Barcelona. A les ordenades s’hi representen grups de deu unitats de percentatges, per tal d’ordenar el nombre de seccions que pertany a cada un d’aquests grups.
L’orientació del vot posa en relleu una ciutat en què un nombre reduït de seccions votava amb molta força a les candidatures d’ERC o de la Lliga, i una altra majoria de seccions que votaven ERC o la Lliga entorn de la mitjana de la ciutat, és a dir, una distribució similar a la dels municipis de la província (figura 22). Per A matisar aquesta afirmació i estudiar l’evolució del vot a la ciutat, s’ha de recórrer a l’anàlisi cartogràfica de les seccions, com es fa en el segon volum d’aquest atles.
La circumscripció de Barcelona província
Els percentatges globals. La participació i l'orientació del vot
La província
A Barcelona província la participació del 1931 al 1936 va evolucionar com a les altres circumscripcions, encara que l’oscil·lació va ser menor. La participació va ser alta, la més alta de Catalunya durant les eleccions del Front Popular (74%) i en les de compromissaris (50%) atès el poc interès polític de la consulta; i va ser relativament alta en les legislatives de 1933 (66%). Durant les constituents (66%) i en les del Parlament de Catalunya (60%) es va tendir a participar menys que en altres províncies, però més que a Barcelona ciutat (figura 4).
El vot d’esquerres seguí una evolució similar a les altres circumscripcions, àmplies majories en les constituents (78%) i les de compromissaris (72%), equilibri el 1933 (52%) i orientació similar en les del Parlament de Catalunya (59%) i del Front Popular (57%) (figura 4, mapes 10 i 17).
Les comarques

Figura 24. Evolució de l’orientació del vot a les comarques barcelonines durant cinc eleccions. S’han considerat d’Esquerres les candidatures correlacionades positivament amb la candidatura del Front d’ Esquerres del 16 de febrer de 1936. Són les següents: 1931 Partit Catalanista Republicà, Esquerra Republicana de Catalunya, Extrema Esquerra Federal i BOC. 1932 Esquerra Republicana de Catalunya, Partit Republicà Democràtic Federal, Partit Socialista Obrer Espanyol, BOC i Partit Comunista de Catalunya. 1933 Coalició d’Esquerres Catalanes, Esquerra Republicana de Catalunya, Front Obrer i Partit Comunista de Catalunya. 1936 Front d’Esquerres de Catalunya.
L’estudi de comarques a la província de Barcelona és incomplet, ja que només tenim en compte dades fragmentàries. No obstant això, els resultats de què disposem apunten cap a l’existència de dues zones àmplies i diferenciades, que no inclouen ni el Bages, que va evolucionar sempre com la mitjana provincial en la seva participació i en el seu vot, ni el Berguedà, que va viure una trajectòria peculiar, com examinarem més endavant (figura 24). Una zona va votar sempre àmpliament l’esquerra i el 1936 va participar per sobre de la mitjana provincial: Barcelonès, Vallès Occidental, Baix Llobregat, Alt Penedès i Garraf. Una altra zona, en canvi, va tenir una participació menys elevada i, amb un vot més conservador; limita amb les comarques també conservadores de Girona, Tarragona i Lleida, dissenyant els dos grans enclavaments de la dreta catalana. Són les comarques d’Osona, Vallès Oriental, Maresme i Anoia.
Els municipis
A Barcelona província, com a tot Catalunya, es va participar entorn de la mitjana provincial. Per a les legislatives de 1931 i 1932, que ens falten resultats de bastants municipis, una manera de demostrar aquesta similitud és comparant la distribució dels percentatges de participació municipal de les províncies. S’observa llavors que les tendències gairebé es confonen (figures 6 i 7).

Figura 23.- Percentatges de participació i del vot a les diferents candidatures, representant en ordenades els 309 municipis de la circumscripció de Barcelona, dels quals s’han format grups de deu unitats de percentatge, per tal d’observar el nombre de municipis que pertany a cada un d’aquests grups.
En la consulta del Front Popular hi va haver una coincidència notòria en el grau de participació local i la majoria de municipis van participar amb la mateixa intensitat, per la qual cosa la corba de distribució és pronunciada (figura 13). Aquest fet i la circumstància que es produís quan més es va participar a la província, apunta a una consulta viscuda amb interès i tensió, com també va succeir a Barcelona ciutat. Com s’esdevé amb la participació, les corbes de distribució del vot municipal obtingut per les candidatures d’ERC o de la Lliga són similars a les de les circumscripcions restants (figura 23).
Els percentatges provincials
El cens masculí de 1931
El cens dels 309 municipis de la província és molt desigual. Les diferències entre pobles i ciutats són enormes i la influència de Barcelona ciutat és on més se sent, pel fet de tractar-se de la capital de la província, encara que constituís una circumscripció pròpia a efectes electorals. Independentment de Barcelona ciutat, hi ha: 1) 20 ciutats que representen conjuntament el 47% del cens provincial, densitat electoral que adquireix un major relleu si es té en compte que més de la meitat d’aquest 47% es concentra entre Sabadell, l’Hospitalet, Badalona, Terrassa, Manresa i Mataró; 2) 29 municipis amb un cens entre els 1.000 i els 2.000 electors, que representen el 17% del cens provincial; 3) 62 municipis, el cens dels quals oscil·la entre 500 i 1.000, que representen el 18% del cens provincial; i 4) 198 municipis amb un cens inferior a 500 electors i que representen el 18% del cens provincial.
L'orientació del vot
L’orientació del vot segons els percentatges provincials s’ha pogut estudiar durant les eleccions del Parlament de Catalunya i del Front Popular. Però cal dir que, malgrat que els percentatges del vot d’esquerres són similars, 59% i 57%, si es realitza l’anàlisi per grups de municipis els resultats difereixen més.
Un exemple: el Parlament de Catalunya
El 1932 es van presentar vuit candidatures, de les quals, totes, excepte ERC i la Lliga, van obtenir a les ciutats, és a dir, als 20 municipis més grans de la província, uns percentatges de vot fins a 36 punts superiors al 47%, que és el valor que representa el percentatge del seu cens en aquests municipis (taula 2); així doncs, del vot aconseguit en el conjunt de la circumscripció, el PCC va obtenir a les ciutats el 83%, el BOC el 72%, el PSOE el 72% i el PRDF el 70%. D’una banda, aquests percentatges tan elevats responien al fet que l’electorat va diversificar la seva opció política a les ciutats, i, per tant, va disminuir el vot a ERC o a la Lliga. I de l’altra banda, s’ha de tenir en compte que la circumstància que aquestes candidatures minoritàries només van aconseguir vots a les ciutats, i, per tant, és en aquests municipis on van obtenir gairebé tot el percentatge de vots de la circumscripció. Efectivament, a la resta de grups de municipis les candidatures minoritàries van disminuir dràsticament el seu percentatge de vots provincials, especialment als municipis més petits, on van ser molt poc votades. La Candidatura Tradicionalista assolí també els millors percentatges a les ciutats, 9 punts més que el valor que representava el percentatge del cens, si bé als altres grups de municipis es va aproximar molt més que les altres candidatures minoritàries al valor que representava el seu cens electoral respectiu, i especialment als municipis més petits, els quals, representant el 18% del cens de la circumscripció, van donar a la Dreta de Catalunya el 17% de vots de la circumscripció.
Un altre exemple: el Front Popular

Taula 3.- Percentatges respecte al total provincial del nombre d’electors i vots del Front d’Esquerres de Catalunya i del Front Català d’Ordre a les eleccions legislatives del 16 de febrer de 1936, a la província de Barcelona.
Com que en les eleccions del Front Popular es van presentar només dues opcions, el Front d’Esquerres de Catalunya i el Front Català d’Ordre, l’orientació del vot en tots els grups de municipis que hem considerat es va concentrar forçosament a favor d’una o altra candidatura. El Front d’Esquerres va obtenir percentatges similars al valor que representava el percentatge del cens en tots els grups de municipis. Així, a les vint ciutats més grans de la província (el cens de la qual representava el 47% provincial), el Front d’Esquerres va obtenir el 46% dels seus vots provincials, mentre que als municipis mitjans, petits o molt petits, que representaven respectivament el 17%, 18% i 18% del cens provincial, el Front d’Esquerres aconseguí el 19%, el 18% i el 17% dels seus vots provincials respectivament taula 3. El Front Català d’Ordre, en canvi, fou molt menys votat a les grans ciutats, on va perdre 10 punts respecte al valor del cens, és a dir, als 20 municipis més grans de la província va aconseguir només el 37% dels seus vots provincials i, al contrari, va guanyar 7 punts als municipis més petits, on va obtenir el 25% del seu vot provincial (taula 3). L’anàlisi d’aquests percentatges provincials en la contesa electoral del Front Popular ens demostra que l’opció conservadora va constituir, sobretot, l’opció triada pels municipis més petits de Catalunya, i que el Front d’Esquerres va ser votat de forma similar a tot arreu, de manera que a igual nombre d’electors va obtenir igual nombre de vots.
Evolució de la participació i de l'orientació del vot als municipis a través de l'estudi de correlacions
La participació
Els índexs de correlació són els que s’han pogut calcular amb les dades de les tres eleccions legislatives de 1931, 1932 i 1936, i són semblants als de les altres províncies. Per la mateixa raó i malgrat que les dades siguin fragmentàries, creiem que la participació va experimentar una evolució similar a tot arreu. En altres paraules, als municipis on més es va participar es va tendir a continuar participant més, excepte en les constituents i en les eleccions del Parlament català, quan els índexs són baixos en totes les circumscripcions, excepte a Girona, perquè els motius per a participar en unes eleccions o unes altres van ser diferents. Sembla una llei demostrada en tots els països el fet que les pautes de participació depenen del tipus de consulta electoral (general o local), de manera que cada consulta electoral genera una pauta de participació específica, com hem pogut definir precisament per a Girona (figura 47). Ara bé, a Catalunya la participació va resultar sensible a la lluita electoral i, encara que les eleccions al Parlament català eren unes eleccions legislatives, el tipus de consulta o almenys el significat dels escons (del Parlament espanyol o del Parlament català) era diferent i, per tant, els índexs de correlació entre ambdues eleccions són baixos. Girona, per descomptat, constitueix una excepció i aquest fet ens demostra una altra vegada més a la personalitat política de la circumscripció gironina.
La participació i les forces polítiques


Taules 5 i 6.- Coeficients de correlació entre els percentatges de vots a les candidatures d’Esquerra Rapublicana de Catalunya (a dalt) i de la Lliga (a baix) a tres eleccions legislatives a la província de Barcelona.
Com a les altres províncies catalanes, els coeficients de correlació entre el percentatge de votants i les forces polítiques són baixos, però tendeixen a afavorir lleugerament i sempre a les candidatures d’ERC i a perjudicar lleugerament i sempre les candidatures de la Lliga. En definitiva, als llocs on la votació va ser més alta, es va tendir a votar ERC, i, en canvi, als llocs en què es va votar menys, va prevaler la tendència a votar la Lliga.
Candidatures d’ERC i de la Lliga
Les correlacions entre les candidatures d’ERC en diverses eleccions són sempre positives i significatives, i entre les candidatures de la Lliga són també positives i significatives, amb índexs de correlació equiparables als obtinguts en altres circumscripcions (taules 5 i 6).
Candidatures del BOC i de l’EEF-PRDF
Entre 1931 i 1932, l’índex de correlació d’aquestes candidatures és (.37) entre EEF i PRDF i (.31) entre les candidatures del BOC. Es tracta d’uns índexs relativament baixos, perquè als municipis no es va tendir a votar igual a cada una d’aquestes eleccions.
Candidatures del PCR


Taules 7a i 7b.
Coeficients de correlació entre els percentatges de votants i de vots a diferents candidatures en tres eleccions legislatives (a dalt) i coeficients de correlació entre els percentatges de vots de la candidatura del Partit Catalanista Republicà el 1931 i altres candidatures en les eleccions legislatives del Parlament de Catalunya i del Front Popular (a baix) a la província de Barcelona.
El PCR es va presentar únicament durant les constituents i en aquestes eleccions es va correlacionar positivament amb la candidatura de la Lliga i negativament amb la candidatura d’ERC. Aquesta correlació sembla indicar que, als municipis on es va votar la Lliga, es va votar també el PCR com a substitució de l’alternativa d’ERC o potser com una altra opció conservadora, ja que els índexs de correlació del PCR el 1931 amb les candidatures al Parlament de Catalunya correlacionen l’electorat, que va votar el PCR el 1931, amb l’electorat de les candidatures de la Lliga i dels tradicionalistes (taula 7b). I, així mateix, el percentatge de vots que va assolir el PCR el 1931 es correlaciona positivament amb el Front Català d’Ordre i negativament amb el Front d’Esquerres de Catalunya de 1936, per la qual cosa l’electorat del PCR es va decantar majoritàriament per l’opció conservadora, independentment de l’actitud d’alguns dels seus dirigents (taula 7b).
Circumscripció de Tarragona
Els percentatges globals. La participació
La província
A Tarragona la participació global va oscil·lar, de 1931 a 1936, entre el 75% i el 46%. Com a tot Catalunya, va ser elevada durant les constituents (75%) i en les del Front Popular (73%), va descendir en les legislatives de 1932 (64%) i de 1933 (67%), i va descendir dràsticament en les eleccions de compromissaris (46%) (figura 4).
Les comarques

Figura 26.- Distribució dels percentatges de votants, en cinc eleccions, a la província de Tarragona. S’han format grups de deu unitats de percentage. A les ordenades s’hi representa el nombre de municipis que pertany a cada un d’aquests grups.
L’evolució de la participació comarcal va ser similar a l’evolució de la tendència provincial. El terme mitjà per comarca estableix, no obstant això, una divisòria entre una zona meridional àmplia, lleugerament més abstencionista, formada per la Ribera d’Ebre, el Baix Ebre, el Baix Camp, la Terra Alta, el Montsià i el Priorat; i una altra zona més al nord la participació de la qual es va situar per sobre del terme mitjà provincial. Aquestes zones coincideixen, excepte el Priorat i el Baix Camp, amb dimensions diferents dels termes municipals respectius. La zona meridional comprèn uns termes municipals grans i una població que viu disseminada, i la zona més al nord, amb major tendència a la participació, té uns termes municipals més petits (mapa 4).
Com hem estudiat a Girona, l’extensió del terme municipal és una variable abstencionista, entre altres raons per la possibilitat de l’existència de població que viu disseminada i bastant lluny dels col·legis electorals. D’altra banda, als termes municipals extensos hi ha més probabilitats que existeixin grans finques, les quals han pogut afavorir l’abstenció durant els anys trenta.
Els municipis
La participació municipal depèn del tipus de confrontació electoral. En les legislatives del Parlament català i del Front Popular, una gran majoria de municipis va participar de manera semblant i, per això, les corbes de distribució són tancades, encara que el 1932, pel fet que la participació provincial fou 5 punts inferior, la corba és menys pronunciada i mostra una desviació cap a percentatges de participació més baixos. Durant les legislatives de 1931 i 1933 es va participar amb major oscil·lació i les corbes de distribució són més àmplies. Les eleccions de compromissaris són singulars, ja que un nombre elevat de municipis va participar molt més que la mitjana provincial i un altre grup també elevat va participar molt menys (figura 26). Aquesta participació diferent en les eleccions de compromissaris va ser deguda a la influència del comportament de l’electorat conservador, el qual, a les grans ciutats, va decidirse per acudir a les urnes en gran proporció i, en canvi, als municipis més petits es va retreure més que l’electorat d’esquerres. A més, aquestes tendències es trocirben relacionades amb el vot a la Lliga en eleccions anteriors, per la qual cosa, una vegada més, destaca l’interès de les eleccions de compromissaris per a l’estudi dels climes locals respectius.
L'orientació del vot
El centre «reformista» no aliat amb ERC
A Tarragona, és significativa l’existència d’una opció electoral considerada com una alternativa del «centre reformista», que es va caracteritzar pel fet de no incloure ERC o la Lliga en la seva candidatura. La seva força electoral va dificultar que es donés ràpidament, com en altres províncies, la bipolaritat entre els dos partits catalans hegemònics. Aquesta coalició, que l’any 1931 va obtenir el 30% de vots provincials, situà Tarragona en una posició insòlita en el panorama català. El repartiment geogràfic del seu vot i les seves correlacions matisen i clarifiquen el sentit d’aquesta opció, perquè els escrutinis mostren una vegada i una altra que va substituir, en determinades àrees geogràfiques, i, sobretot, en determinades ciutats, la candidatura d’ERC, amb la qual va mantenir una relació contínua.(*) El sentit d’aquesta opció electoral citada es pot matisar amb els índexs de correlació que manté cada candidat que integra la coalició per separat. Així, per exemple, la correlació dels candidats de la Coalició d’Esquerres de 1932 amb el Front d’Esquerres de febrer de 1936, considerats un a un, mostra com els candidats del PSOE es van correlacionar positivament, mentre que els candidats del PCR, del PRRS o dels Federals van mantenir un comportament erràtic que explica la seva no correlació (taula 8). Entre les legislatives de 1933 i 1936, els índexs són més forts i positius amb el Front d’Esquerres (taula 9), perquè, segons la consulta electoral, partits i candidats van formar part d’alguna de les dues candidatures, ja que la implantació de l’una i de l’altra va tenir un matís pròpiament local. I, per sobre de tot, perquè no vam considerar que cap de les dues candidatures fos conservadora, hem decidit incloure-les conjuntament en l’espai que vam denominar àmpliament com la suma d’esquerres o, senzillament, esquerra. Aquesta esquerra inclou, a més, els vots que van obtenir el BOC i el PCC, opcions sempre minoritàries i que no van sobrepassar el 2,50% provincial.

Taula 8. Coeficients de correlació entre els percentatges de vots dels candidats de la Coalició d’Esquerres Tarragonines al Parlament de Catalunya i del Front d’Esquerres de Catalunya del 16 de febrer de 1936.

Taula 9. Coeficients de correlació entre els percentatges de vots dels candidats de la Coalició d’Esquerres Catalanes a les legislatures de 1933 i del Front d’Esquerres de Catalunya del 16 de febrer de 1936 en la circumscripció de Tarragona.
La província
Aquest «centre reformista», força alternativa de centre diferenciada d’ERC, va provocar que, el 1932, el vot d’esquerres triomfés conjuntament per un marge ampli, més ampli que en cap altra circumscripció. El vot d’esquerres va evolucionar, doncs, d’aquesta forma: victòria molt àmplia el 1931 (84%) i el 1932 (68%), i força similar en les legislatives de 1933 i 1936 (57%). En les últimes eleccions, les de compromissaris, l’esquerra va obtenir un altre cop una victòria molt àmplia (77%) (figura 3).
Les comarques
La constància en el vot d’esquerres o de dretes es va viure gairebé sempre entre les legislatives de 1933 i les de 1936. Malgrat tot, però les corbes en U són més o menys pronunciades, amb unes diferències que caracteritzen dues zones àmplies: d’una banda la zona del litoral amb les seves ciutats i el 62% de l’electorat provincial constitueix una zona amb un vot d’esquerres sempre per sobre del terme mitjà provincial (figura 30), i, de la’altra, la zona de l’interior, que compta només amb el 38% de l’electorat provincial, es caracteritza per un vot conservador i amb unes oscil·lacions més remarcables entre comarques (figura 31).

Figura 30. Evolució de la participació i de l’orientació del vot a les comarques de la província de Tarragona. * Les deu comarques de la circumscripció de Tarragona s’han desdoblat en dos grups per tal de veure amb més claredat les corbes de comportament electoral que les caracteritzen. ** S’han considerat d’Esquerres les candidatures correlacionades positivament amb la candidatura del Front d’Esquerres del 16 de febrer de 1936. Són les següents: 1931: Candidatura Republicana, Coalició Republicana-Socialista, BOC; 1932: Esquerra Republicana, Coalició d’Esquerres Tarragonines, Front Obrer, PCC; 1933: Esquerra Republicana, Coalició d’Esquerres Tarragonines, Front Obrer, PCC; 1936 C: Front d’Esquerres de Catalunya.

Figura 31. Evolució dels electors d’esquerres i de dretes a les comarques de la província de Tarragona. Les deu comarques de la circumscripció de Tarragona s’han desdoblat en dos grups per tal de veure amb més claredat les corbes de comportament electoral que les caracteritzen. ** S’han considerat de dretes les candidatures correlacionades negativament amb la candidatura del Front d’esquerres del 16 de febrer de 1936. Són les següents: 1931: Candidatura Autonomista Republicana, Rovira i Virgili; 1932: Unió Ciutadana, PRR; 1933: Unió Ciutadana; 1936: Front d’Ordre i Lliga Catalana.
Els municipis

Figura 27.- Distribució a la província de Tarragona dels percentatges de vots de la Coalició Republicano-Socialista el 1931, la Coalició d’Esquerres Tarragonines el 1932 i la Coalició d’Esquerres Catalanes el 1933. S’han format grups de deu unitats de percentatge. A les ordenades s’hi representa el nombre de municipis que pertany a cada un d’aquests grups.
És interessant matisar que, a Tarragona, el vot municipal de l’opció reformista distinta d’ERC va aconseguir el millor percentatge durant les legislatives al Parlament de Catalunya. Llavors va obtenir més del 50% de vots locals en un 10% de municipis. Aquests municipis són de totes les comarques i destaquen pel seu cens Tarragona, Tortosa i Ulldecona. La distribució dels percentatges municipals mostra el que va passar a la província en relació amb «el centre reformista»: el 1931 inicià la seva implantació, el 1932 aconseguí la seva expansió màxima i el 1933 va perdre molts vots (figura 27).

Figura 28.- Distribució a la província de Tarragona dels percentatges de vots de la Lliga a les eleccions de 1933 (Unió Ciutadana) i de 1936 (Front Català d’Ordre). S’han format grups de deu unitats de percentatge. A les ordenades s’hi representa el nombre de municipis que pertany a cada un d’aquests grups.

Figura 29.- Percentatge de participació i de vot a les diferents candidatures dels municipis de Tarragona. A les ordenades s’hi representen els 185 municipis de la circumscripció de Tarragona en grups de deu unitats de percentatge per tal d’observar el nombre de municipis que pertany a cada un d’aquests grups.
El vot municipal a les candidatures d’ERC i, sobretot, de la Lliga és similar en les eleccions legislatives de 1933 i de 1936 (figura 28). Durant les eleccions constituents, la Lliga va obtenir pocs vots en gairebé tots els municipis de la província (figura 29), però en les eleccions al Parlament de Catalunya els seus percentatges van avançar considerablement (figura 29), perquè no es va plantejar la possibilitat de repetir la copada de 1931, a causa de l’existència d’una alternativa de centre reformista distinta d’ERC i també perquè la Lliga estava més ben organitzada.
Els percentatges provincials
El cens masculí de 1931
La magnitud del cens electoral dels 185 municipis de Tarragona difereix considerablement de les altres províncies catalanes, perquè els municipis molt petits són relativament poc nombrosos, i, en canvi, més de la meitat d’electors resideixen en municipis grans o mitjans. Per això, el cens provincial es distribueix així: 1) cinc ciutats, Tortosa, Reus, Tarragona, Valls i Ulldecona, que juntes signifiquen el 33% del cens provincial; 2) 17 municipis mitjans, amb un cens que oscil·la entre 1.000 i 2.000 electors i que representa el 20% del cens provincial; 3) 31 municipis petits, amb un cens que oscil·la entre els 500 i els 1.000 electors, que correspon al 19% del cens provincial; i 4) 132 municipis molt petits, amb menys de 500 electors, els quals representen el 20% del cens provincial.
Cens i participació

Figura 25. Correspondència, en percentatges, sobre el total de la circumscripció de Tarragona, entre el nombre d’electors, participació i vot d’Esquerra Republicana durant cinc eleccions. A la circumscripció de Tarragona i segons el cens electoral de barons de 1930, s’han format 4 grups de municipis denominats grans (G) si tenen més de 2.000 electors; mitjans (M) entre 1.000 i 2.000 electors; petits (P) entre 500 i 1.000 electors i molt petits (MP) si tenen menys de 500 electors.
El cens i la participació del conjunt d’aquests quatre grups de municipis van mantenir —com en general a les altres províncies catalanes— pautes de comportament similars: a igual nombre d’electors, igual nombre de votants. A Tarragona, tanmateix, els municipis molt petits van viure tendències lleugerament diferents de les de les ciutats, com si els respectius comportaments electorals depenguessin en part del nombre d’electors del lloc de residència. El 1931 i el 1932 els municipis molt petits van participar més, participamentre que a les ciutats es va viure una abstenció més alta. El 1933, el canvi de signe cap a una major participació a les ciutats és evident, perquè la participació supera el cens en 3 punts, mentre que es va tendir a participar cada vegada menys als municipis molt petits (figura 25).
Cens, participació i candidatures d’ERC
Aquest canvi en la tendència de la participació va ser paral·lel a un canvi en l’orientació del vot. Els anys 1931, 1932 i 1933, es va votar ERC sobretot als municipis molt petits, mentre que a les ciutats es va tendir a votar també Coalició, BOC o PCC. El 1936, en canvi, el Front Popular va obtenir un major percentatge de vots provincials a les ciutats, perquè els electors de Coalició, BOC o PCC van tenir tendència a votar Front d’Esquerres.
Cens, participació i candidatures de la Lliga

Taula 10.- Percentatges respecte al total provincial del nombre d’electors, votants i vots a la Lliga Catalana a les eleccions de compromissaris del 26 d’abril de 1936 a la província de Tarragona. S’han considerat quatre grups de municipis segons la grandària de llur cens electoral.
L’existència de dues alternatives reformistes fa interessant la comparança entre el cens i la participació amb els vots de la Lliga. Perquè la Lliga es va presentar, des de 1931, com l’única alternativa conservadora i va incloure sempre en les seves llistes les altres forces de la dreta. A les ciutats, excepte durant les eleccions de compromissaris, la Lliga va obtenir sempre un percentatge de vots inferior al valor que en aquests nuclis representava el cens o la participació. En canvi, la Lliga va ser relativament més forta als municipis petits o mitjans. Durant les eleccions de compromissaris és quan la Lliga obté un vot més acusat a les ciutats i als municipis mitjans, mentre que als municipis petits i molt petits l’electorat conservador es va retreure i van participar majoritàriament electors del Front d’Esquerres (taula 10).
Les alternatives comunistes

Taula 11.- Percentatges respecte al total provincial del nombre d’electors el 1931, i els vots al BOC i al PCC en les tres primeres eleccions legislatives a la província de Tarragona. S’han considerat quatre grups de municipis segons la grandària de llur cens electoral.
Els municipis petits o molt petits van votar gairebé exclusivament ERC i Lliga, i els municipis mitjans o grans van votar, a més, altres alternatives. Si considerem el vot al BOC o al PCC, una altra manera de diferenciar els municipis de Tarragona és la següent: els municipis de menys de mil electors es van caracteritzar pel fet de votar exclusivament ERC o Lliga, mentre que als nuclis de més població es va viure un pluripartidisme més gran (taula 11). Aquest fet obliga a matisar la llei tendencial de Maurice Duverger sobre la tendència pluripartidista d’un sistema electoral com el de la Segona República espanyola, o l’afirmació de Douglas W. Rae sobre el major fraccionament polític de les grans circumscripcions. L’exemple de Tarragona demostra que, a més de la grandària electoral de la circumscripció, cal considerar el percentatge d’electors que en cada circumscripció viuen concentrats en determinats nuclis definits per la importància del seu cens.
Un exemple: les eleccions al Parlament de Catalunya
El 1932, la Coalició d’Esquerres obtingué el 37% dels seus vots provincials a Tortosa i Reus i un altre 10% en un bon nombre de municipis mitjans, com Roquetes, Amposta, Alcanar, el Perelló i la Sénia. L’alternativa comunista també va ser votada de manera concentrada als grans nuclis de població, ja que, entre Reus i Tarragona, aconseguí el 50% dels seus vots provincials. El BOC va obtenir un 30% de vots entre Tarragona i Reus, i un altre 30% entre el Vendrell, Vilaseca de Solcina, Montblanc, Tivissa i Xerta
Evolució de la participació municipal i de l'orientació del vot segons els índexs de correlació
La participació
D’una banda, els índexs de participació municipal durant les legislatives de 1932, 1933 i 1936 estan fortament correlacionats entre si, perquè els municipis que van tendir a participar més, o, per contra, van tenir tendència a participar menys, van ser els mateixos en totes les tres eleccions legislatives, i, per tant, els índexs de correlació entre totes tres són positius i significatius. D’altra banda, la participació municipal en les constituents i en les eleccions de compromissaris no estan correlacionades entre si, ni tampoc amb les eleccions immediatament posteriors o anteriors. És a dir, la participació en les eleccions constituents no es correlaciona amb la participació en les eleccions al Parlament de Catalunya, i, en conseqüència, l’índex de correlació entre aquestes dues eleccions no és significatiu; i la participació durant les eleccions de compromissaris no es relacionà amb les eleccions del Front Popular.
Per aquest cúmul de raons cal considerar que les eleccions constituents o les de compromissaris són eleccions singulars a causa de la modalitat de la seva participació municipal. En les eleccions constituents hi ha participació elevada com a suport al sistema republicà i tensió per a aconseguir la copada. Durant les eleccions de compromissaris la participació és molt baixa a causa de l’escàs interès polític de la consulta electoral. Cens i participació La magnitud del cens influí en la participació en les dues primeres eleccions legislatives, perquè es va tendir a participar més als municipis petits i, per tant, l’índex és negatiu. Des de 1933 es va tendir a votar més a la ciutat, sobretot en les eleccions de compromissaris, i, per això mateix, els índexs són positius. Aquesta inversió de la tendència es pot interpretar com el resultat de la incorporació del sufragi femení, ja que les dones van tenir tendència a participar més en la mesura que residien en nuclis de població més grans.
Cens i participació
La magnitud del cens influí en la participació en les dues primeres eleccions legislatives, perquè es va tendir a participar més als municipis petits i, per tant, l’índex és negatiu. Des de 1933 es va tendir a votar més a la ciutat, sobretot en les eleccions de compromissaris, i, per això mateix, els índexs són positius. Aquesta inversió de la tendència es pot interpretar com el resultat de la incorporació del sufragi femení, ja que les dones van tenir tendència a participar més en la mesura que residien en nuclis de població més grans.
Participació i forces polítiques

Taula 12. Coeficients de correlació entre els percentatges de votants i de vots obtinguts per les diferents candidatures a cinc eleccions a la província de Tarragona.
La participació o l’abstenció no van influir en el resultat dels escrutinis, i, per aquest motiu, els índexs de correlació entre la participació i les forces polítiques són baixos. Com en altres circumscripcions, l’any 1931 els índexs són positius amb la candidatura d’Esquerra Republicana, perquè als llocs en què més es va votar, es tendí a votar ERC. Durant les eleccions al Parlament de Catalunya van continuar essent positius amb ERC, i negatius amb l’altra candidatura reformista, perquè on més es va votar, és a dir, als municipis petits, hi va haver tendència a votar ERC i on menys es va votar, és a dir, a les ciutats, es va votar Coalició. En les legislatives de 1933 i 1936, els índexs són molt baixos, a l’entorn de zero. I durant les eleccions de compromissaris la participació va tendir a afavorir el vot a la Lliga, perquè on hi va haver major participació, que va ser a les ciutats, es va tendir a votar més la Lliga (taula 12).
Candidatures d’ERC


Taules 13 i 14. Coeficients de correlació entre els percentatges de vots a les candidatures d’ERC (a dalt) i de la Lliga (a baix) en cinc eleccions a la província de Tarragona.
Les candidatures d’ERC es van correlacionar entre si i entre parells d’eleccions, però més feblement que en altres circumscripcions, perquè l’existència d’una altra candidatura reformista va tendir a dividir l’opció de l’electorat segons les eleccions, amb una única excepció entre el 1932 i el 1933 quan, l’índex de correlació va ser positiu i molt fort (.78) (taula 13).
Candidatures de la Lliga
Les candidatures de la Lliga es van correlacionar entre si i entre parells d’eleccions d’una manera molt forta. Com en altres circumscripcions, les eleccions de compromissaris són les més feblement correlacionades amb les altres (taula 14). La pauta de l’electorat conservador és més estable que la de l’electorat reformista. Així, i malgrat que la Candidatura Autonomista de 1931 (Lliga i tradicionalistes) va obtenir només el 13% de vots, el vot a aquesta candidatura es va correlacionar lleugerament, però de manera positiva, amb la participació en les legislatives de 1932, 1933 i 1936, i negativament amb les eleccions de compromissaris.

Taula 15. Coeficients de correlació entre els percentatges de vots obtinguts pels candidats de la Lliga o el candidat tradicionalista en les eleccions legislatives de 1931 amb els percentatges de votants de quatre eleccions a la província de Tarragona.
Aquest fet demostra que, fins i tot en l’àmbit municipal, el punt de partida en l’orientació del vot permet predir el comportament futur, perquè on es va votar Lliga, el 1931, es va continuar votant fortament la Lliga fins a febrer de 1936, tendència especialment intensa amb els candidats tradicionalistes (taula 15). Durant les eleccions de compromissaris, la correlació, encara que poc significativa, tendeix a ser negativa. És sens dubte una opció conjuntural d’alguns municipis que s’havien decantat per votar l’opció conservadora en les eleccions anteriors i decideixen abstenir-se en aquesta última ocasió, però en altres municipis, bàsicament a les ciutats, els electors de la Lliga decideixen acudir a les urnes en una proporció sensiblement superior als electors d’ERC, i aquesta opció explica la correlació positiva amb la participació (.37).
Candidatures de la Coalició d’Esquerres

Taula 16. Coeficients de correlació entre els percentatges de vots dels candidats de la Coalició d’Esquerres a les eleccions legislatives de 1932 i de 1933, a la província de Tarragona.
Entre 1932 i 1933, aquesta candidatura, malgrat variar la filiació política dels seus membres, va tendir a ser votada als mateixos llocs, i, per tant, l’índex de correlació és positiu i elevat (taula 16).
Candidatures del BOC
Les candidatures del BOC van ser votades als mateixos llocs i per aquest motiu es van correlacionar positivament (.52) entre 1932 i 1933.
Candidatures del PCC
El PCC, els anys 1932 i 1933, també va tendir a ser votat als mateixos llocs, i, per això, l’índex de correlació és positiu i significatiu (.71).
La circumscripció de Girona
Els percentatges globals. La participació
La província
De 1931 a 1936 la participació electoral va oscil·lar entre un 40% i un 79%. Girona va ser la circumscripció catalana on la participació va variar més durant la Segona República: va oscil·lar 39 punts. Aquest marge és encara més rotund si tenim en compte que els que van votar o es van abstenir s’intercanviaren en cada consulta, ja que només una fracció de població va votar sempre o es va abstenir sempre. La participació, com va passar arreu de Catalunya, fou elevada durant les eleccions constituents (79%) i en les del Front Popular (72%), va descendir en les legislatives de 1932 (66%) i de 1933 (62%), i va baixar dràsticament durant les de compromissaris (40%) (figures 3 i 4).
Les comarques
L’evolució provincial descrita es repetí exactament en cada comarca, malgrat les diferents grandàries dels censos o la seva localització geogràfica. L’evolució va ser tan similar que no és possible traçar les corbes que representen la participació comarcal, perquè sempre coincideixen amb la mitjana provincial (figura 17).
Els municipis
La majoria de municipis tendí a participar sempre entorn de la mitjana provincial de cada consulta electoral, i una manera de comprovar la major o menor desviació de la mitjana consisteix a estudiar l’estructura de les corbes de distribució dels percentatges municipals. Aquestes corbes són sensibles a la conjuntura local perquè representen precisament les oscil ·lacions de la participació municipal. En la mesura que les corbes siguin més pronunciades i tancades podrem concloure que, globalment a nivell local, es va viure un gran acord quant a la participació o l’abstenció en la majoria de municipis.

Figura 32.- Distribució dels percentatges de votants en cinc eleccions a la província de Girona. S’han format grups de deu unitats de percentatge. A les ordenades s’hi representa el nombre de municipis que pertany a cada un d’aquests grups.
Les eleccions que van suscitar un consens més ampli foren les primeres, les legislatives de 1931 (figura 35). Durant aquesta consulta, Girona va ser l’única província que va elegir els seus representants de la majoria i de la minoria sense recórrer ni a una segona volta ni a la copada. A més, el seu electorat, el 1931, fou el que col·lectivament va tenir la major participació de tot Catalunya i de tota la República: 4 punts més que Tarragona, 10 punts més que Lleida, 13 punts més que Barcelona província i 18 punts més que Barcelona ciutat (figura 4).
Les eleccions legislatives del Parlament català i del Front Popular són semblants, des del punt de vista de la participació municipal, encara que la participació provincial, el 1936, fóra 5 punts superior. I, a més de ser similars, són equidistants de les legislatives de 1931 i de 1933 (figura 32). L’electorat, malgrat veure els diferents plantejaments de la lluita electoral entre una consulta i l’altra, va haver de viure la seva responsabilitat de participar o abstenir-se de manera similar.
El 1933 la participació municipal oscil·là més que durant les altres legislatives, i, per aquest motiu, la corba de distribució és més àmplia (figura 35). Aquestes eleccions, la participació provincial de les quals és més baixa que en les altres legislatives, es van viure de manera diferent segons els municipis, fet que ja preludiava la participació en les eleccions de compromissaris (figura 35).

Figura 35.- Percentatge de participació i de vot a les diferents candidatures. A les ordenades s’hi representen els 248 municipis de la circumscripció de Girona en grups de deu unitats de percentatge per tal d’observar el nombre de municipis que pertany a cada un d’aquest grups.
A Girona, les comarques van participar amb tanta similitud que no poden traçar-se les corbes que representen la seva evolució perquè totes coincideixen amb la mitjana provincial, però als municipis les variacions van ser més sensibles a les peculiaritats locals i descriuen tres tipus de climes polítics. El 1931, una il·lusió extraordinària i una major participació, i, per tant, una corba de participació tancada i pronunciada; durant les eleccions al Parlament de Catalunya i en les del Front Popular, hi va haver menys entusiasme i un descens de la participació, i, per tant, les corbes són menys pronunciades, més àmplies i gairebé superposades; el 1933, i durant les eleccions de compromissaris, l’interès es va diluir, la participació municipal va oscil·lar més i les corbes són menys pronunciades i encara més àmplies (figura 32).
L'orientació del vot
La província
L’orientació del vot és majoritàriament d’esquerra coincideix sempre amb la tendència de les altres províncies catalanes. Un marge molt ampli per a l’esquerra en les constituents (78%) i en les de compromissaris (86%) i força similar (57%) durant les legislatives de 1932, 1933 i 1936. L’evolució del vot descriu, doncs, una corba en U gairebé perfecta (figura 3).
Les comarques
Totes les comarques van seguir una evolució similar, situada per damunt o per sota de la mitjana provincial. Les comarques que es van orientar cap a l’esquerra amb menys força van ser la Garrotxa, el Gironès i la Selva, enclavaments de la dreta, mentre que el Ripollès, la Cerdanya i l’Alt i el Baix Empordà mostren un major predomini de l’esquerra. Val la pena retenir que el punt d’arrencada en l’orientació del vot comarcal de 1931 permet predir el punt final el 1936, perquè les corbes de l’orientació del vot se superposen gairebé exactament les unes damunt de les altres i sempre de la mateixa manera (figura 37).

Figura 36. Evolució dels electors d’esquerres i de dretes a les comarques de la província de Girona. * A la circumscripció de Girona s’han considerat d’Esquerres les següents candidatures, les quals es correlacionen positivament amb el Front d’Esquerres del 16 de febrer de 1936: 1931: Coalició Catalana Republicana, BOC. 1932: ERC, Esquerra Federal Agrària Obrera, BOC, PCC. 1933: Esquerra Republicana, Front Obrer. 1936 C: Front d’Esquerres de Catalunya. ** A la circumscripció de Girona s’han considerat de Dretes les següents candidatures, les quals es correlacionen negativament amb el Front d’Esquerres del 16 de febrer de 1936. 1931: Lliga Regionalista. 1932: Lliga Regionalista, Coalició Catòlica, Acció Catalana, Candidatura Radical-Federalista. 1933: Lliga Catalana, Dreta Agrària, Partit Republicà Radical. 1936 C: Lliga Catalana.

Figura 37. Evolució de la participació i de l’orientació del vot a les comarques de la província de Girona. * A la circumscripció de Girona s’han considerat d’esquerres les següents candidatures, les quals es correlacionen positivament amb el Front d’Esquerres del 16 de febrer de 1936: 1931: Coalició Catalana Republicana, BOC. 1932: ERC, Esquerra Federal Agrària Obrera, BOC, PCC. 1933: Esquerra Republicana, Front Obrer. 1936 C: Front d’Esquerres de Catalunya.
Els municipis

Figura 33.- Distribució dels percentatges de vots d’esquerres en cinc eleccions a la província de Girona. S’han format grups de deu unitats de percentatge. A les ordenades s’hi representa el nombre de municipis que pertany a cada un d’aquests grups.
L’orientació del vot de l’esquerra es va viure amb una gran estabilitat en les legislatives de 1932, 1933 i 1936 ,i, per tant, les corbes que representen la distribució dels seus percentatges municipals se superposen gairebé exactament. El 1931, i, sobretot, durant les eleccions de compromissaris, els percentatges del vot d’esquerres es van disparar cap amunt, com va passar arreu (figura 33).
Els percentatges provincials
El cens masculí de 1931
Els 248 municipis de Girona tenen un cens electoral desigual, amb una majoria de població que viu en municipis molt petits. El cens electoral provincial de 1931 es distribueix de la manera següent: 1) cinc ciutats, Girona, Figueres, Olot, Sant Feliu de Guíxols i Palafrugell, que representen el 20% del cens provincial; 2) 13 municipis, el cens dels quals, entre els 1.000 i els 2.000 electors, representa el 19% del cens provincial; 3) 24 municipis amb un cens que oscil·la entre els 500 i els 1.000 electors, que signifiquen el 17% del cens provincial, i 4) 206 municipis amb un cens inferior als 500 electors, que representen el 44% del cens provincial.
La participació

Figura 34. Correspondència, en percentatges, entre el nombre d’electors, participació i vot d’Esquerra Republicana sobre el total de la circumscripció de Girona durant cinc eleccions. Els 248 municipis de la circumscripció han estat agrupats segons el cens de 1930 de barons. S’han establert quatre grups de municipis: G, més de 2.000 electors; M, entre 2.000 i 1.000 electors; P, entre 1.000 i 500 electors; MP, menys de 500 electors.
Els percentatges de votants per a aquests municipis globalment considerats van ser similars als percentatges dels seus censos electorals respectius, perquè es va produir una relació estreta entre el nombre d’electors i el nombre de votants (figura 34). Per exemple, en les eleccions al Parlament de Catalunya, els percentatges de votants donaren respectivament, per als quatre grups de municipis, 19%, 21%, 16% i 44%. És a dir, les diferències entre electors i votants van oscil·lar menys d’un 2%. La conclusió és clara: pres globalment, l’abstencionisme es distribueix de manera uniforme als municipis i la seva força absoluta està directament relacionada amb la del cens. A aquesta mateixa conclusió, amb algunes matisacions, arribem quan estudiem altres circumscripcions.
Cens, vot i participació
El vot a ERC o a les candidatures d’ERC és similar quant a la força de la participació i del cens. La força electoral d’ERC és donada pel nombre d’electors que van participar i van votar ERC en cada municipi. Aquest nombre, lògicament, pot sumar-se agrupant els municipis segons el criteri de la grandària del cens. Per exemple, durant les eleccions al Parlament de Catalunya els percentatges assolits són gairebé idèntics als percentatges del cens (taula 17).

Taula 17.- Percentatges respecte al total provincial del nombre d’electors, votants i vots a diferents candidatures a les eleccions del Parlament de Catalunya a la província de Girona. S’han considerat quatre grups de municipis segons la grandària de llur cens electoral.
Si en lloc d’analitzar cada elecció per separat, volem descriure l’evolució del vot i de la participació entre 1931 i 1936, obtindrem uns percentatges similars i gairebé superposats amb unes oscil·lacions mínimes, perquè la força dels percentatges del cens electoral, l’orientació del vot i la participació són molt semblants el 1931, el 1932 i el 1933. És a dir, en les tres primeres eleccions legislatives i per als quatre grups de municipis considerats, a igual nombre d’electors, igual nombre de votants i igual nombre de vots als candidats d’ERC. I només durant les eleccions de 1936 aquesta proporció varia bàsicament per dues raons. En primer lloc, perquè durant les eleccions del Front d’Esquerres es va tendir a votar més als municipis grans i mitjans, i, en segon lloc perquè aquests municipis van tendir a votar el Front d’Esquerres amb més força. En canvi, es participà menys als municipis molt petits i el Front d’Esquerres va obtenir percentatges més baixos, i aquesta mateixa tendència es va mantenir durant les eleccions de compromissaris. A una conclusió similar arribem quan estudiem les altres circumscripcions provincials.
Evolució de la participació municipal i de l'orientació del vot segons els índexs de correlació
Cens i participació
Els índexs de correlació entre el cens i el percentatge de votants són sempre baixos. El 1931 i el 1932 la relació és negativa, perquè es va tendir a votar més als municipis més petits, i, des de 1933, és positiva perquè es tendí a votar més als municipis més grans. Aquesta inversió de tendència es pot explicar per la incorporació del sufragi femení a partir de 1933, ja que les dones van tendir a participar més a les ciutats que als municipis molt petits. El diagrama de dispersió demostra que, en augmentar el cens, el percentatge de votants s’aproxima més a la mitjana provincial, i que els municipis el cens dels quals és menor tendeixen a distanciar-se més de la mitjana provincial d’acord amb les lleis de l’estadística.
Participació i forces polítiques

Taula 18. Coeficients de correlació entre els percentatges de votants i de vots obtinguts per diferents candidatures a cinc eleccions a la província de Girona.
Per comprendre el significat de l’abstencionisme global s’ha de matisar si el grau de participació o d’abstenció modifica o no la relació entre les forces polítiques i el resultat de l’escrutini. Si existís una siemrelació entre l’abstenció i una candidatura determinada, en unes eleccions concretes, podríem concloure que l’abstenció va influir indirectament en el resultat de l’escrutini, restant vots a una o a diverses candidatures. Tanmateix, això no va passar a Girona, perquè els valors de les correlacions entre participació i candidatures són baixos sempre, és a dir, mai no va existir una correlació significativa entre el percentatge de votants i els percentatges obtinguts per les diverses candidatures (taula 18).
Evolució de la participació

Taula 19. Coeficients de correlació entre els percentatges de votants de les eleccions municipals de 1931 i de 1934 amb cinc eleccions generals a la província de Girona.
Els municipis van tendir a participar de manera semblant entre parells d’eleccions consecutives, amb correlacions especialment significatives en les legislatives. La participació en les eleccions de compromissaris es va correlacionar feblement amb la d’altres eleccions, perquè els motius per a participar van ser distints. Una situació similar es produí amb la participació a les eleccions municipals de 1931 i 1934, unes eleccions feblement relacionades entre si i amb les legislatives (taula 19), ja que els motius per a participar en ambdues eleccions van ser també diferents.
Candidatures d’ERC


Taules 20 i 21. A dalt, coeficients de correlació entre els percentatges de vots a les candidatures d’ERC en cinc eleccions a la província de Girona. A baix, coeficients de correlació entre els percentatges de vots a les candidatures de la Lliga en cinc eleccions a la província de Girona.
Els municipis van tendir a votar les candidatures d’ERC de manera similar durant les legislatives i entre parells d’eleccions pròximes, i, per això, les correlacions són significatives. Entre eleccions menys pròximes en el temps les correlacions solen ser més baixes, amb una gran excepció entre les legislatives de 1931 i 1936, quan malgrat els anys que les separen, la correlació és significativa. L’elecció menys relacionada és la de compromissaris (taula 21).
Candidatures de la Lliga
Els municipis van tendir a votar la Lliga encara amb més regularitat que ERC, i, per aquest motiu, les correlacions entre parells d’eleccions pròximes són elevades i significatives. Cal destacar la forta relació entre les legislatives de 1932, 1933 i 1936, relació que explica parcialment l’estabilitat provincial entre aquestes tres eleccions. Cal remarcar també que, malgrat el percentatge tan baix de la Lliga el 1931 (25%), aquestes eleccions es van correlacionar d’una manera molt forta amb les altres i especialment amb les de 1936. Com sempre, les eleccions menys relacionades són les de compromissaris (taula 21).
Candidatures del BOC

Taula 22. Coeficients de correlació entre els percentatges de vots a les candidatures del BOC en cinc eleccions a la província de Girona.
El BOC presentà candidatura a les tres primeres eleccions legislatives i els municipis que van votar el BOC van tendir a ser diferents entre 1931 i 1932, i similars entre 1932 i 1933 (taula 22).
Candidatures de la Coalició Catòlica i del PRR
El Partit Radical i els tradicionalistes van presentar candidatures només a les legislatives de 1932 i 1933 i, pràcticament, aconseguiren vots als mateixos municipis, per la qual cosa, en ambdós casos, els índexs de correlació són elevats: (.68) per al PRR i (.63) per a la Coalició Catòlica.
Circumscripció de Lleida
Els percentatges globals. La participació
La província
La participació a Lleida, de 1931 a 1936, va oscil·lar entre el 71% i el 41%. En el panorama català aquesta abstenció adquireix major força social, perquè Lleida és l’única circumscripció on hem trobat una relació d’electors que «sense acreditar causa de la seva omissió havien deixat de votar», tal vegada per una possible sanció futura. L’existència d’aquesta llista confereix un interès remarcable a l’estudi de l’abstenció lleidatana, perquè manifesta que hi va haver algun tipus de coacció per fer complir el dret de vot. Malgrat tot, la participació va evolucionar igual que a les altres províncies: participació elevada durant les eleccions del Front Popular (71%) i en les constituents (69%), participació menor durant les legislatives de 1932 (66%) i 1933 (61%), i descens dramàtic durant les de compromissaris (41%) (figura 4).
Les comarques

Figura 38.- Percentatges de participació a les comarques de la província de Lleida durant quatre eleccions legislatives i unes eleccions de compromissaris.
Les comarques tendiren a evolucionar com la mitjana provincial, encara que amb unes oscil·lacions àmplies perquè el fet característic de la participació comarcal fou la seva contínua ziga-zaga. En les legislatives de 1931, 1932 i 1936 l’evolució va ser similar, i, per aquesta raó, se superposen les ziga-zagues gairebé exactament (figura 38). Cal destacar que la participació comarcal durant les legislatives de 1933 va ser semblant a la que va tenir lloc en les eleccions de compromissaris, encara que les mitjanes provincials respectives diferissin en 20 punts. En certa manera, les eleccions de 1933 van preludiar la participació viscuda en les de compromissaris, quan va ser espectacular l’oscil·lació entre comarques (figura 38). Les comarques situades més al sud —l’Urgell, el Segrià i la Noguera— van participar com a terme mitjà uns 12 punts més que les comarques situades més al nord. Moltes vegades, el punt d’arrencada de la participació el 1931 permet predir el punt final, perquè, com a Girona, l’evolució de la participació comarcal va tendir a produir-se d’una manera similar.
Els municipis

Figura 39. Correspondència en percentatges entre el nombre d’electors, participació i vot de l’Esquerra Republicana sobre el total de la circumscripció de Lleida durant quatre eleccions. Els 320 municipis de la circumscripció han estat agrupats segons el cens electoral de 1930 de barons. S’han establert quatre grups de municipis: G, més de 2.000 electors; M, entre 2.000 i 1.000 electors; P, entre 1.000 i 500 electors; MP, menys de 500 electors.

Figura 40.- Distribució dels percentatges de votants en quatre eleccions legislatives a la província de Lleida. S’han format grups de deu unitats de percentatge. A les ordenades s’hi representa el nombre de municipis que pertany a cada un d’aquests grups.
Va prevaler la tendència a viure un gran acord, malgrat que la major part de municipis són molt petits i estadísticament són possibles àmplies oscil·lacions en la participació. El 1931, la corba de distribució és pronunciada, com passa a Girona. Les eleccions del Parlament de Catalunya i del Front Popular també van ser semblants a Girona, i, per això, les corbes de distribució percentual se superposen, encara que la participació provincial fos 5 punts inferior el 1932. El 1933, una altra vegada com a Girona, la participació va ser inferior, va oscil·lar més i la corba de distribució és més àmplia (figura 40). La participació municipal només trasllueix les enormes diferències comarcals durant les eleccions de compromissaris. A Lleida, pel que fa a la participació, malgrat obtenir un percentatge provincial similar al d’altres províncies, va tenir una distribució municipal distinta, perquè en molts llocs es va participar molt més que la mitjana i en uns altres molt menys. Es tracta d’una situació insòlita en el panorama català, no viscuda en cap altra consulta electoral, ni en cap altra província. Per això, comprendre per què l’electorat municipal va optar per participar d’aquesta manera ens aproximaria a les variades problemàtiques locals (figura 44), possiblement amb una estreta relació amb l’orientació del vot, la presència o no de reminiscències caciquils i la realitat de centenars de municipis amb un cens electoral molt reduït.
L'orientació del vot
La província
El vot d’esquerra segueix la pauta següent: majories àmplies durant les constituents (92%) i les eleccions de compromissaris (67%) i descens fort en les legislatives de 1932 (60%), 1933 (52%) i 1936 (54%). El febrer i l’abril de 1936, Lleida va ser la circumscripció catalana més conservadora (figura 3).
Les comarques

Figura 41.- Pecentatges obtinguts per les candidatures d’esquerres a les comarques de Lleida en cinc eleccions (quatre de legislatives i la de compromissaris). La línia vertical central discontínua separa les comarques occidentals de les orientals. Les línies verticals separen les comarques amb predomini de les esquerres, les de tendència intermèdia i les de predomini de la Lliga.
L’evolució del vot comarcal va ser similar a l’evolució del vot provincial, amb oscil·lacions que diferencien dues zones àmplies (figura 41). D’una banda, l’oest, amb un vot més a l’esquerra, representat per la Vall d’Aran, el Segrià, les Garrigues, el Pallars Jussà i la Noguera; en aquestes comarques el vot d’esquerra descriu una corba en U pronunciada i semblant a la mitjana provincial (figures 45 i 46).
De l’altra, l’est, representat per l’Alt Urgell, el Pallars Sobirà, l’Urgell, la Segarra i el Solsonès, que és més conservador, especialment el Solsonès, cor del tradicionalisme català (figures 45 i 46). Si en lloc de considerar el vot d’esquerres sobre la participació tenim en compte el terme mitjà del vot d’esquerres sobre el cens electoral, podem descriure tres tipus de comportaments: el sud-oest, juntament amb la Vall d’Aran, el Segrià, les Garrigues i la Noguera, on les esquerres van ser votades per gairebé la meitat dels electors; l’est, representat pel Solsonès i la Segarra, on un 20% o un 30% d’electors van votar les esquerres; i l’Alt Urgell, els dos Pallars i l’Urgell, que una zona intermèdia, amb un 38% de l’electorat que va votar esquerres. No obstant això, les dades comarcals amaguen dissimilituds i haurien d’estudiarse espais més petits com, per exemple, determinats municipis o valls, perquè llavors descobriríem sens dubte les facilitats o les dificultats de comunicació, i comprendríem les barreres que separen a Lleida «el pla» de «la muntanya», segons el llenguatge popular.

Figura 44.- Percentatges de participació i del vot a les diferents candidatures dels municipis de Lleida. A les ordenades s’hi representen els 320 municipis de la circumscripció de Lleida, dels quals s’han format grups de deu unitats de percentatge per tal d’observar el nombre de municipis que pertany a cada un d’aquests grups.

Figura 45. Evolució de la participació i de l’orientació del vot a les comarques de la província de Lleida. * Les deu comarques de la circumscripció de Lleida s’han desdoblat en dos grups per tal de veure amb més claredat les corbes de comportament electoral que les caracteritzen. ** S’han considerat d’esquerres les candidatures correlacionades positivament amb la candidatura del Front d’Esquerres del 16 de febrer de 1936. Són les següents: 1931: Coalició Republicana i BOC; 1932: ERC, PSOE i BOC; 1933: Esquerra Republicana i Front d’Obrers i Pagesos; 1936 C: Front d’Esquerres de Catalunya.

Figura 46. Evolució dels electors d’esquerres i de dretes a les comarques de la província de Lleida. * Les deu comarques de la circumscripció de Lleida s’han desdoblat en dos grups per tal de veure amb més claredat les corbes de comportament electoral que les caracteritzen. ** S’han considerat de dretes les candidatures correlacionades negativament amb la candidatura del Front d’Esquerres del 16 de febrer de 1936. Són les següents: 1931: Partit Agrari de Catalunya, PCR i Lliga Regionalista (candidatura retirada); 1932: Front Proporcionalista Republicà Catalanista de les Comarques de Lleida; 1933: Unió de Dretes: 1936 C: Lliga Catalana.
Els municipis
La majoria dels municipis de Lleida tenen menys de 200 electors (figura 42). En aquestes comunitats de 50, 100 o 200 electors, des d’un punt de vista estadístic, com ha afirmat Lancelot per a França, qualsevol resultat és possible sense haver d’atribuir-lo a la manipulació. Pot passar el que no és possible a la gran ciutat, que tots votin, sigui Lliga o ERC, i els percentatges depassin el 90% i fins i tot arribin al 100%. Per aquest motiu la distribució municipal del vot és àmplia, més àmplia que en cap altra circumscripció.

Figura 42. Cens electoral de 1931, dels 314 municipis de Lleida de menys de 1.000 electors barons. A les ordenades s’hi representa el nombre de municipis que pertany a cada una de les 10 classes considerades. A les abscisses s’hi han agrupat els municipis segons llur cens electoral.

Figura 43.- Distribució dels percentatges de vots de les candidatures de la Lliga en les eleccions legislatives de 1932, 1933 i 1936 a la província de Lleida. S’han format grups de deu unitats de percentatge. A les ordenades s’hi representa el nombre de municipis que pertany a cada un d’aquests grups.
La dispersió de municipis entorn de les mitjanes provincials del vot conservador dissenya tres tipus de consultes electorals: 1) les legislatives de 1931, quan la Lliga no va ser gairebé votada perquè va retirar la seva candidatura i es van disparar els vots de la Candidatura Republicana cap a uns percentatges elevats en tots els llocs (figura 44); 2) les legislatives de 1932, 1933 i 1936, en què el vot municipal a les candidatures de la Lliga és similar, especialment entre 1933 i 1936, de manera que si les legislatives de 1933, pel tipus de participació, preludien les de compromissaris, per l’orientació de vot preludien les del Front Popular (figura 44); i 3) en les de compromissaris, a Lleida, el vot a la Lliga Catalana (25%) és similar al de Barcelona província i 12 punts superior a Girona, perquè la Lliga fou molt votada en alguns municipis, sobretot de l’Alt Urgell (figura 3).

Mapa 15. Eleccions legislatives del 16 de febrer de 1936 a la província de Lleida. A cada municipi es representa el cens i el vot del Front d’Esquerres. Poden observar-se tres zones diferents: el nord-oest, l’est i el sud-oest.
L’estabilitat del vot municipal, comarcal i provincial durant les eleccions legislatives de 1932, 1933 i 1936 i la importància d’aquesta darrera reflectida, com veurem, en tots els índexs de correlació, permet elaborar una tipologia a partir únicament dels resultats del Front Popular. Aquesta tipologia dissenya tres zones àmplies (mapa 15):
—El Sud, amb predomini de l’esquerra. Comprèn el Segrià complet, excepte els municipis que limiten amb Tarragona, més dretans. També inclou gairebé tota la comarca de la Noguera, excepte alguns municipis al nord, i gran part de l’Urgell. Els municipis més grans són les Borges Blanques, Juneda, i, sobretot, Lleida ciutat, amb gairebé la tercera part del cens d’aquestes comarques. És la zona del pla, però no de tot el pla.
—L’Est, amb predomini de la dreta. Conté el Solsonès, la Segarra i la meitat sud-est de l’Urgell, es perllonga per la part pròxima a Tarragona i comprèn els municipis de les Garrigues. Inclou una part de la plana del Segre, amb Tàrrega i Cervera, i les muntanyes suaus de la vall alta del Cardener. Políticament està lligada a les comarques veïnes del Berguedà, l’Anoia i la Conca de Barberà.
—El Nord és un mosaic polític, amb microzones diverses que l’aproximen a certs llocs de França.(*) Inclou els dos Pallars, l’Alt Urgell i una part de la Noguera. El municipi més gran és Balaguer, políticament més aviat lligat al Sud. En aquesta zona molt muntanyenca, amb petites valls separades i mal comunicades, vam descobrir microzones clarament definides: prop de Sort, de dretes; la Seu d’Urgell i el Montsec, zones polaritzades al voltant del 50%; la vall del Flamicell, zones de la Pobla de Segur i de Tremp, d’esquerres. Les valls del Segre (Cerdanya) i de la Garona (Vall d’Aran), d’esquerres, són casos concrets dels Pirineus i no té sentit agrupar-los de manera diferent. La Cerdanya s’hauria d’estudiar conjuntament amb la part «gironina», amb una participació similar, però un vot més a la dreta.
Els percentatges provincials
El cens masculí de 1931
Una característica dels 90.762 electors de Lleida és la de residir en municipis molt petits que, com a les altres províncies, hem agrupat segons el cens de 1931: 1) Lleida és l’única ciutat gran, i representa l’11% del cens provincial; 2) cinc ciutats, Tàrrega, Cervera, les Borges Blanques, Balaguer i Juneda, el cens de les quals oscil·la entre els 1.000 i els 2.000 electors, representen el 8% del cens provincial; 3) 27 municipis de 500 a 1.000 electors representen el 21% del cens provincial; i 4) 287 municipis amb menys de 500 electors representen el 60% del cens provincial. La província de Lleida es diferencia, doncs, de les altres províncies catalanes pels seus centenars de municipis molt petits i per tenir només una gran ciutat.
La participació i el cens
El cens i la participació d’aquests quatre grups de municipis van mantenir pautes de comportament similars: a igual nombre d’electors igual nombre de votants. Tanmateix, durant les eleccions de compromissaris no es va seguir aquesta tendència. Lleida ciutat i els municipis de 1.000 a 2.000 electors van mantenir la proporció entre el cens i la participació, mentre que els municipis petits van participar 6 punts per sobre del valor del seu cens respectiu i els municipis molt petits van participar 8 punts per sota del valor del seu cens.
ERC, participació i cens
El vot de les candidatures d’ERC, la participació i el cens coincideixen gairebé exactament als quatre grups de municipis durant les dues primeres eleccions legislatives. En canvi, en les dues eleccions de 1936 els municipis més petits van participar menys i amb un vot més conservador, tot reflectint, potser, l’extrema tensió del moment i, en tot cas, coincidint amb els resultats de les províncies de Girona, Tarragona i Barcelona. Alguna cosa va fer que els municipis petits de Catalunya participessin menys i amb un vot més conservador durant les últimes eleccions republicanes. Una interpretació podria ser el temor a possibles pressions socials, que hauria impulsat l’electorat de l’esquerra a retreure’s més que el de la dreta. O bé que, davant la falta de solució als greus problemes socials i, la imminència d’un conflicte civil, es tingués menys confiança en el veredicte de les urnes i en el significat polític de la participació. O potser que les dones rurals que van deixar de participar fossin potencialment electores de l’esquerra.
El BOC i el PSOE

Taula 23.- Percentatges respecte al total provincial del nombre d’electors votants i de vots a les candidatures del BOC i del PSOE a 6 municipis en les eleccions legislatives de 1931 i de 1932 a la província de Lleida.
La força principal del BOC va ser a la ciutat de Lleida, on obtingué, el 1931 i el 1932, el 29% i el 22%, respectivament, de la seva força provincial. Conjuntament, a Tàrrega, Cervera, les Borges Blanques, Balaguer i Juneda va obtenir el 20% del seu vot provincial el 1931 i el 18% el 1932, és a dir, 13 i 10 punts per sobre del valor que representava el seu cens provincial. El fet més notori, entre 1931 i 1932, fou la pèrdua de vots a Juneda i Balaguer i l’augment de vots a les Borges Blanques, Cervera i Tàrrega (taula 23). Els municipis de 500 a 1.000 electors conjuntament van contribuir amb percentatges equivalents al seu cens provincial, encara que s’observen diferències notòries entre municipis. Cal destacar els percentatges elevats del BOC a Bellvís, Almenar, Artesa de Segre i Maials. En definitiva, els municipis més petits van ser els que van votar menys el BOC, els percentatges provincials dels quals, en aquest grup de pobles, es van situar 20 punts per sota del valor que representava el seu cens provincial.
Un exemple: les eleccions al Parlament de Catalunya

Taula 24.- Parlament de Catalunya: percentatges respecte al total provincial de Lleida del nombre d’electors, votants i candidatures. S’han considerat quatre grups de municipis segons la grandària de llur cens electoral.
L’escrutini de les eleccions al Parlament de Catalunya és un exemple representatiu. Els percentatges del cens i de la participació, als quatre grups de municipis, són similars, i oscil·len, grosso modo, un punt. Els percentatges del BOC i, sobretot, del PSOE es concentren a Lleida i als municipis mitjans, mentre que les candidatures d’ERC i de la Lliga tenen una força similar en tots els grups de municipis (taula 24).
Evolució de la participació municipal i de l'orientació del vot segons els índexs de correlació
La participació
Com a les altres províncies catalanes, els municipis de Lleida es van decantar per unes pautes de comportament similars pel que fa a la participació, especialment durant les eleccions legislatives de 1932, 1933 i 1936. Probablement perquè la Lliga, en retirar la seva candidatura el 1931, va fer que el plantejament de la lluita electoral estigués clarament diferenciat i perquè en les eleccions de compromissaris es produí una abstenció massiva de l’electorat de la dreta. Entre parells d’eleccions, les correlacions més significatives es van donar, doncs, entre les legislatives de 1933 i 1936 i entre les de 1932 i 1933. Aquests índexs de correlació mostren que, malgrat les peculiaritats locals, els municipis de Lleida, com per tot Catalunya, van tendir a variar els seus percentatges de participació gradualment i lentament.
Cens i forces polítiques

Taula 25. Coeficients de correlació del nombre d’electors amb el BOC i els candidats de la Candidatura Republicana en les eleccions legislatives del 28 de juny de 1931 a la província de Lleida.
El cens no es va relacionar amb les forces polítiques, tret de les dues primeres eleccions. El 1931 i el 1932 es va correlacionar amb el BOC, perquè evidentment el BOC va obtenir més vots als nuclis amb major densitat de població, com ja indicaven els percentatges provincials. El 1931, el cens es va correlacionar, a més, amb la Coalició Republicana, i aportà, en aquest cas, un matís interessant: mentre que el cens no es va correlacionar amb els candidats d’ERC, sí que ho va fer positivament amb el PRR i negativament amb la Dreta Republicana, perquè els radicals van tendir a ser votats en municipis més grans, mentre que el vot conservador es va concentrar als nuclis més petits; d’aquesta manera es matisava l’orientació del panachage segons els llocs de residència de l’electorat (taula 25).
Participació i forces polítiques

Taula 26. Coeficients de correlació entre els percentatges de votants i de vots obtinguts per les diferents candidatures a cinc eleccions a la província de Lleida.
Els índexs de correlació entre els percentatges de participació i les forces polítiques van ser baixos sempre, perquè la participació o l’abstenció no van influir en l’orientació del vot. Cal remarcar, no obstant això, dues excepcions que s’expliquen per les peculiaritats polítiques de la província. El 1931, la Lliga va retirar la seva candidatura en l’últim moment i gairebé no va ser votada, i, per aquest motiu, la immensa majoria va votar la Candidatura Republicana; aquest fet explica l’índex de correlació forta entre aquesta candidatura i el percentatge de votants. Un altre moment excepcional es va viure en la consulta de compromissaris quan la participació, com a Tarragona, va tendir a afavorir la Lliga i no al Front d’Esquerres (taula 26).
Candidatures d’ERC

Taula 27. Coeficients de correlació entre els percentatges de vots a les candidatures d’ERC en cinc eleccions a la província de Lleida.
Els municipis de la província de Lleida evolucionaren durant la República cap a una major estabilitat en el vot, i, per aquest motiu, van ocórrer dos fenòmens. D’una banda, entre parells d’eleccions els índexs de correlació de les candidatures d’ERC són cada vegada més forts i significatius, entre 1932 i 1933 i entre 1933 i 1936. D’altra banda, a mesura que les eleccions es distancien en el temps, contràriament al que succeeix en altres províncies, els índexs de correlació són cada vegada més forts, entre 1931 i 1932, entre 1931 i 1933 i entre 1931 i 1936. I, en canvi, passa el contrari en les eleccions del Front Popular, els índexs de correlació de les quals, entre parells d’eleccions, són més febles a mesura que les eleccions es distancien (taula 27).
Lliga o candidatures de la dreta

Taula 28. Coeficients de correlació entre els percentatges de vots a les candidatures de la Lliga en cinc eleccions a la província de Lleida.
Les candidatures de la Lliga es correlacionen entre si a partir de 1932, amb una força semblant a les candidatures d’ERC, i, com succeeix amb ERC, també per a la Lliga les eleccions del Front Popular són definitòries i es correlacionen fortament amb totes les altres (taula 28).
Candidatures del BOC
Als municipis es va tendir a votar BOC de manera semblant entre 1931 i 1932, i, per això, la correlació entre ambdues eleccions és positiva (.57). A més, el BOC va tendir a concentrar-se en municipis grans i mitjans i, per aquest motiu, es va correlacionar positivament amb el cens el 1931 (.25) i el 1932 (.29).
Representació cartogràfica de les esquerres i de les dretes

Mapa 16. El vot d’esquerres a les circumscripcions catalanes entre 1931 i 1936

Mapa 17. El vot de dretes a les circumscripcions catalanes entre 1931 i 1936

Mapa 18. El vot d’esquerres a les comarques catalanes

Mapa 19. El vot d’esquerres a les comarques catalanes

Mapa 20. El vot de dretes a les comarques catalanes

Mapa 21. El vot de dretes a les comarques catalanes

Mapa 22. El vot de dretes a les comarques catalanes